Dies ist Absatztext. Klicken Sie darauf oder klicken Sie auf die Button Text verwalten, um Schriftart, Farbe, Größe, Format und mehr zu ändern. Um Website-weite Absatz- und Titelstile einzurichten, gehen Sie zu Website-Design.
Bekanntmachungen Stadt Kirtorf
Nachfolgend sind die amtliche Bekanntmachungen der Stadt Kirtorf gelistet.
Der kostenlose Adobe-Reader kann unterfolgendem Link heruntergeladen werden:
Rechtliche Hinweise
Gemäß § 5a Absatz 4 der Verordnung über öffentliche Bekanntmachungen der Gemeinden und Landkreise vom 12.10.1977, steht jeder Person das Recht zu, im Internet bekannt gemachte Satzungen und Verordnungen der Gemeinde während der öffentlichen Sprechzeiten der Verwaltung in Papierform einzusehen und sich gegen Kostenerstattung entsprechende Ausdrucke fertigen zu lassen. Auf dieses Recht wird gemäß Artikel 8 des Gesetzes zur Verbesserung der Funktionsfähigkeit der Kommunalen Vertretungskörperschaften und zur Änderung kommunalrechtlicher Vorgaben vom 01.04.2025, auf der Internetseite der Stadt Kirtorf verwiesen.




Bekanntmachungsvermerk
Diese Bekanntmachung wurde am 11.02.2026 auf der Homepage der Stadt Kirtorf unter www.stadt-kirtorf.de/Bekanntmachungen öffentlich bekannt gemacht.
Kirtorf, den 11.02.2026
Christoph Lück
Bürgermeister
Satzung über die Festsetzung der Steuersätze
für die Grund- und Gewerbesteuer
- Hebesatzsatzung –
Aufgrund der §§ 5 und 51 der Hessischen Gemeindeordnung (HGO) in der Fassung der Bekanntmachung vom 7. März 2005 (GVBl. I S. 142), letzte berücksichtigte Änderung: mehrfach geändert, §§ 4c, 8c und 149 neu gefasst, § 36b aufgehoben sowie § 52a neu eingefügt durch Artikel 1 des Gesetzes vom 1. April 2025 (GVBl. 2025 Nr. 24), hat die Stadtverordnetenversammlung der Stadt Kirtorf am 29.01.2026 die folgende Satzung beschlossen:
§ 1 Festsetzung der Hebesätze
Die Hebesätze für die Grundsteuer und für die Gewerbesteuer werden wie folgt festgesetzt:
1. Grundsteuer
a) für die land- und forstwirtschaftlichen Betriebe
1080 v. H.
(Grundsteuer A)
b) für die Grundstücke (Grundsteuer B) 1080 v. H.
2. für die Gewerbesteuer 475 v. H.
§ 2 Gültigkeit
Die Hebesätze nach § 1 gelten für das Haushaltsjahr 2026.
§ 3 Inkrafttreten
Diese Satzung tritt rückwirkend zum 01.01.2026 in Kraft.
Kirtorf, den 29.01.2026
Christoph Lück (Siegel)
Bürgermeister
Ausfertigung:
Es wird bestätigt, dass der Inhalt dieser Satzung mit den hierzu ergangenen Beschlüssen der
Stadtverordnetenversammlung übereinstimmt und dass die für die Rechtswirksamkeit
maßgebenden Verfahrensvorschriften eingehalten wurden.
Kirtorf, den 29.01.2026
Christoph Lück
Bürgermeister
Bekanntmachungsvermerk
Diese Satzung wurde am 04.02.2026 auf der Homepage der Stadt Kirtorf unter www.stadt-kirtorf.de/Bekanntmachungen öffentlich bekannt gemacht.
Kirtorf, den 04.02.2026
Christoph Lück
Bürgermeister
Kommunalwahlen am 15.03.2026 in Kirtorf
Der Gemeindewahlausschuss hat in seiner Sitzung am 16.01.2026 folgende Wahlvorschläge für die Gemeindewahlen in den Stadtteilen Kirtorf, Arnshain, Gleimenhain, Heimertshausen, Lehrbach, Ober-Gleen und Wahlen am 15.März 2026 zugelassen, die hiermit bekannt gegeben werden.
Für die Gemeindewahl in der Stadt Kirtorf (Stadtverordnetenversammlung)
Wahlvorschlagsnummer 6 Freie Wählergemeinschaft / Christlich Demokratische Union Kirtorf - FWG / CDU

Für die Gemeindewahl in der Stadt Kirtorf (Stadtverordnetenversammlung)
Wahlvorschlagsnummer 7 Sozialdemokratische Partei Deutschlands / Unabhängige Wählerliste - SPD / UWL

Der Gemeindewahlausschuss hat in seiner Sitzung am 16.01.2026 folgende Wahlvorschläge für die Ortsbeiratswahlen in den Stadtteilen Kirtorf, Arnshain, Gleimenhain, Heimertshausen, Lehrbach, Ober-Gleen und Wahlen am 15.März 2026 zugelassen, die hiermit bekannt gegeben werden.







Kirtorf, 20.01.2026
gez. Schindler, Wahlleiter
Bekanntmachungsvermerk:
Die vorstehende Bekanntmachung wurde am 20.01.2026 auf der Homepage der Stadt Kirtorf (www.stadt-kirtorf.de/bekanntmachungen) öffentlich bekannt gemacht. Außerdem nachrichtlich öffentlich bekannt gemacht im Amtsblatt der Stadt Kirtorf; Ausgabe 01/2026, Erscheinungstag: 30.01.2026
Haushaltssatzung und Bekanntmachung der Haushaltssatzung
der Stadt Kirtorf für das Jahr 2025
I. Haushaltssatzung
Aufgrund der §§ 94 ff. der Hessischen Gemeindeordnung (HGO) in der Fassung der Bekanntmachung vom 07. März 2005 (GVBl. I S. 142), zuletzt geändert durch Artikel 11 des Gesetzes vom 03. März 2025 (GVBl. 2025 Nr. 16), hat die Stadtverordnetenversammlung am 24.04.2025 folgende Haushaltssatzung beschlossen:
§1
Der Haushaltsplan für das Haushaltsjahr 2025 wird im Ergebnishaushalt im ordentlichen Ergebnis
mit dem Gesamtbetrag der Erträge auf
9.599.548,00 €
mit dem Gesamtbetrag der Aufwendungen auf 9.358.279,00 €
mit einem Saldo von 241.269,00 €
im außerordentlichen Ergebnis
mit dem Gesamtbetrag der Erträge auf
9.056,00 €
mit dem Gesamtbetrag der Aufwendungen auf 0,00 €
mit einem Saldo von 9.056,00 €
ausgeglichen/mit einem Überschuss/Fehlbedarf von 250.325,00 €
im Finanzhaushalt
mit dem Saldo aus den Einzahlungen und Auszahlungen aus laufender Verwaltungstätigkeit auf 417.690,00 €
und dem Gesamtbetrag der
Einzahlungen aus Investitionstätigkeit auf 585.103,00 €
Auszahlungen aus Investitionstätigkeit auf 1.847.904,00 €
mit einem Saldo von -1.262.801,00 €
Einzahlungen aus Finanzierungstätigkeit auf 1.258.626,00 €
Auszahlungen aus Finanzierungstätigkeit auf 609.229,00 €
mit einem Saldo von 649.397,00 €
ausgeglichen/ mit einem Zahlungsmittelüberschuss/ Zahlungsmittelbedarf des Haushaltsjahres von -195.714,00 € festgesetzt.
§2
Der Gesamtbetrag der Kredite, deren Aufnahme im Haushaltsjahr 2025 zur Finanzierung von Investitionen
und Investitionsförderungsmaßnahmen erforderlich ist, wird auf 1.258.626 € festgesetzt.
§3
Verpflichtungsermächtigungen werden nicht veranschlagt.
§4
Der Höchstbetrag der Liquiditätskredite, die im Haushaltsjahr 2025 zur rechtzeitigen Leistung von
Auszahlungen in Anspruch genommen werden dürfen, wird auf 1.500.000,00 € festgesetzt.
§5
Die Steuersätze für die Gemeindesteuern werden ab dem Haushaltsjahr 2025 durch eine gesonderte
Hebesatzsatzung festgesetzt. Auf die Festsetzungen dieser Satzung wird hingewiesen.
Die folgende Darstellung ist daher lediglich nachrichtlich.
Die Hebesätze betragen nach der o.g. Hebesatzsatzung:
1. Grundsteuer
a) für land- und forstwirtschaftliche Betriebe (Grundsteuer A) 654 v.H.
b) für Grundstücke (Grundsteuer B) 467 v.H.
2. Gewerbesteuer 400 v.H.
§6
Es gilt das von der Stadtverordnetenversammlung beschlossene Haushaltssicherungskonzept.
§7
Es gilt der von der Stadtverordnetenversammlung als Teil des Haushaltsplans beschlossene Stellenplan.
Der Magistrat der Stadt Kirtorf
Kirtorf, 25.04.2025
Lück, Bürgermeister
Ausfertigung
Es wird bestätigt, dass der Inhalt dieser Satzung mit dem/den hierzu ergangenen Beschluss/ Beschlüssen der Gemeindevertretung/Stadtverordnetenversammlung übereinstimmt und dass die für die Rechtswirksamkeit maßgebende Verfahrensvorschriften eingehalten wurden.
Kirtorf, den 10.12.2025
Der Magistrat der Stadt Kirtorf
Lück, Bürgermeister
II. Bekanntmachung der Haushaltssatzung
Die vorstehende Haushaltssatzung für das Haushaltsjahr 2025 wird hiermit öffentlich bekannt gemacht.
Die nach §§ 103 Abs. 2 und 105 Abs. 2 HGO erforderliche(n) Genehmigung(en) der Aufsichtsbehörde zu den Festsetzungen in den §§ 2 und 4 der Haushaltssatzung sind erteilt. Sie hat (haben) folgenden Wortlaut:
Genehmigung
Hiermit genehmige ich gemäß § 97a der Hessischen Gemeindeordnung (HGO)
1. die Abweichung von den Vorgaben zum Haushaltsausgleich nach § 92 Abs. 5 Nr. 2 HGO für
den Finanzhaushalt im Haushaltsjahr 2025 der Stadt Kirtorf,
2. das Haushaltssicherungskonzept 2025 nach § 92a Abs. 3 Satz 2 HGO,
3. den in den § 2 der Haushaltssatzung der Stadt Kirtorf für das Haushaltsjahr 2025 zur Finanzierung
von Investitionsausgaben festgesetzten Gesamtbetrag der Kreditaufnahmen in Höhe von 1.258.626 €
(in Worten: Eine Million zweihundertachtundfünfzigtausendsechshundertsechsundzwanzig Euro)
gemäß § 103 Abs. 2 HGO,
4. den in § 4 der Haushaltssatzung aufgeführten Höchstbetrag der Liquiditätskredite, die im
Haushaltsjahr 2025 zur rechtzeitigen Leistung von Auszahlungen in Anspruch genommen werden
dürfen, in Höhe von 1.500.000 € (in Worten: Eine Million fünfhunderttausend Euro)
gemäß § 105 Abs. 2 HGO.
Der Landrat des Vogelsbergkreise als Behörde der Landesverwaltung
Lauterbach, 06.10.2025
Dr. Mischak, Landrat
Bekanntmachung:
Der Haushaltsplan wird hiermit öffentlich bekannt gemacht. Er wird zur Einsichtnahme ab dem 10.12.2025 auf der Homepage der Stadt Kirtorf (www.stadt-kirtorf.de/bekanntmachungen) veröffentlicht.
Der Magistrat der Stadt Kirtorf
Kirtorf, den 10.12.2025
Lück, Bürgermeister
Öffentliche Bekanntmachung
1. Beschlussfassung über den Jahresabschluss 2018
Gemäß § 114 Abs. 1 der Hessischen Gemeindeordnung (HGO) in der Fassung vom 07.03.2005 (GVBI. I. S. 142), zuletzt geändert durch Artikel 1 des Gesetzes vom 1. April 2025 (GVBl. 2025 Nr. 24), wird öffentlich bekanntgemacht, dass die Stadtverordnetenversammlung in der Sitzung am 13.11.2025 folgenden Beschluss gefasst hat:
1. Der vom Revisionsamt des Landkreises Vogelsbergkreises abschließend geprüfte und mit
einem eingeschränkten Prüfungsvermerk versehene Jahresabschluss der Stadt Kirtorf zum 31.12.2018 mit einer Bilanzsumme von 20.137.215,27 € sowie einem Jahresüberschuss (ordentliches incl. außerordentliches Ergebnis) in Höhe von 347.480,47 € wird hiermit beschlossen.
2. Dem Magistrat wird gemäß § 114 Abs. 1 HGO für das Haushaltsjahr 2018 Entlastung erteilt.
3. Der Jahresüberschuss 2018 soll der allgemeinen Rücklage zugeführt werden.
2. Auslegung
Der vorstehende Beschluss wird hiermit öffentlich bekannt gemacht.
Der Jahresabschluss 2018 wird mit Rechenschaftsbericht zur Einsichtnahme ab dem 05.12.2025 auf der Homepage der Stadt Kirtorf (www.stadt-kirtorf.de/bekanntmachungen) veröffentlicht.
Kirtorf, den 05.12.2025
Der Magistrat der Stadt Kirtorf
Christoph Lück
Bürgermeister
Bekanntmachungsvermerk:
Der vorstehende Beschluss wurde am 05.12.2025 auf der Homepage der Stadt Kirtorf (www.stadt-kirtorf.de/bekanntmachungen) öffentlich bekannt gemacht.
Kirtorf, den 05.12.2025
Der Magistrat der Stadt Kirtorf
Christoph Lück
Bürgermeister
Stellplatzsatzung der Stadt Kirtorf
Aufgrund der §§ 5 und 51 der Hessischen Gemeindeordnung in der Fassung der Bekanntmachung vom 07.03.2005 (GVBl. I S. 142), zuletzt geändert durch Art. 2 des Gesetzes vom 16.02.2023 (GVBl. S. 90, 93) sowie der §§ 52, 86 Abs. 1 Nr. 23 und 91 Abs. 1 Nr. 4 der Hessischen Bauordnung (HBO) in der Fassung der Bekanntmachung vom 28.05.2018 (GVBl. S. 198), zuletzt geändert durch Art. 2 des Gesetzes vom 22.11.2022 (GVBl. S. 571, 574), hat die Stadtverordnetenversammlung der Stadt Kirtorf in ihrer Sitzung am 12. Juni 2025 die folgende Satzung beschlossen:
§ 1 Geltungsbereich
Die Satzung gilt für das gesamte Gebiet der Stadt Kirtorf.
§ 2 Herstellungspflicht
(1) Bauliche oder sonstige Anlagen, bei denen ein Zu- oder Abgangsverkehr zu erwarten ist, dürfen nur errichtet werden, wenn Garagen oder Stellplätze in ausreichender Zahl und Größe sowie in geeigneter Beschaffenheit, einschließlich für Kraftfahrzeuge von Menschen mit Behinderungen, hergestellt werden (notwendige Garagen und Stellplätze). Diese müssen spätestens im Zeitpunkt der Nutzungsaufnahme bzw. Benutzbarkeit der Anlagen fertiggestellt sein.
(2) Änderungen oder Nutzungsänderungen von Anlagen dürfen nur erfolgen, wenn der hierdurch ausgelöste Mehrbedarf an Stellplätzen in ausreichender Zahl und Größe sowie in geeigneter Beschaffenheit hergestellt wird (notwendige Stellplätze).
§ 3 Größe
Garagagen und Stellplätze müssen so groß und so ausgebildet sein, dass sie ihren Zweck erfüllen. Im Übrigen gilt die Verordnung über den Bau und Betrieb von Garagen und Stellplätzen (Garagenverordnung-GaV) in der jeweils gültigen Fassung.
§ 4 Zahl
(1) Die Zahl der nach § 2 herzustellenden Garagen und Stellplätze bemisst sich nach der dieser Satzung beigefügten Anlage, die verbindlicher Bestandteil dieser Satzung ist.
(2) Für bauliche oder sonstige Anlagen, deren Nutzungsart in der Anlage nicht aufgeführt ist, richtet sich die Zahl der Garagen und Stellplätze nach dem voraussichtlichen tatsächlichen Bedarf. Dabei sind die in der Anlage für vergleichbare Nutzungen festgesetzten Zahlen als Richtwerte heranzuziehen.
(3) Bei Anlagen mit verschiedenartigen Nutzungen bemisst sich die Zahl der erforderlichen Stellplätze nach dem größten gleichzeitigen Bedarf. Die wechselseitige Benutzung muss auf Dauer gesichert sein.
(4) Steht die Gesamtzahl in einem offensichtlichen Missverhältnis zum tatsächlichen Bedarf, so kann die sich aus der Einzelermittlung ergebende Zahl der Stellplätze entsprechend erhöht oder ermäßigt werden.
(5) Bei der Stellplatzberechnung ist jeweils ab einem Wert der ersten Dezimalstelle ab fünf auf einen vollen Stellplatz aufzurunden.
§ 5 Ersetzung notwendiger Stellplätze durch Abstellplätze für Fahrräder
Die Anwendung des § 52 Abs. 4 S. 1 und 2 HBO wird ausgeschlossen. Ein Ersetzen notwendiger Stellplätze durch Abstellplätze für Fahrräder ist somit nicht möglich.
§ 6 Beschaffenheit
(1) Garagen und Stellplätze müssen ohne Überquerung anderer Stellplätze ungehindert erreichbar sein. Bei Einfamilienhäusern kann mit Zustimmung der Stadt Kirtorf hiervon abgewichen werden.
(2) Das Gesetz zum Aufbau einer gebäudeintegrierten Lade- und Leitungs-infrastruktur für die Elektromobilität (Gebäude- Elektromobilitätsinfrastruktur – Gesetz – GEIG) gilt in der jeweils gültigen Fassung.
(3) Stellplätze und notwendige Zufahrtsflächen sind mit wasserdurchlässigem Belag wie z.B. Pflaster, Ökopflaster oder Rasengittersteinen zu befestigen. Wasserundurchlässiger Belag wie z.B. Asphalt oder Ortbetonflächen sind nur in Absprache und mit Zustimmung des Magistrats der Stadt Kirtorf zulässig.
§ 7 Standort
Garagen und Stellplätze sind auf dem Baugrundstück herzustellen und dauerhaft zu unterhalten. Ist die Herstellung auf dem Baugrundstück ganz oder teilweise nicht möglich, so dürfen sie auch auf einem anderen Grundstück in unmittelbarer Nähe zum Baugrundstück (bis zu 100 m Fußweg) hergestellt werden, wenn dessen Nutzung zu diesem Zweck sowohl öffentlich-rechtlich als auch zivilrechtlich das Nutzungsrecht im Grundbuch gesichert ist.
§ 8 Ablösung
(1) Die Herstellungspflicht nach § 2 kann auf Antrag durch Zahlung eines Geldbetrages ganz oder teilweise abgelöst werden, soweit die Herstellung der Garage oder des Stellplatzes aus rechtlichen oder tatsächlichen Gründen nicht möglich ist. Ein Ablösungsanspruch besteht nicht.
(2) Über den Antrag entscheidet der Magistrat der Stadt Kirtorf. Antragsunterlagen nebst Bauvorlagen sind dem Magistrat der Stadt Kirtorf im Zuge des Bauantragsverfahren vorzulegen.
(3) Die Höhe des zu zahlenden Geldbetrages beträgt 6.000,00 EUR je PKW – Stellplatz und 12.000 EUR je LKW – Stellplatz.
§ 9 Abstellplätze für Fahrräder
(1) Bei der Errichtung von Anlagen sind geeignete Abstellplätze für Fahrräder in solcher Zahl herzustellen, dass sie für die ordnungsgemäße Nutzung der Anlagen ausreichen (notwendige Abstellplätze).
(2) Änderungen oder Nutzungsänderungen von Anlagen dürfen nur erfolgen, wenn der hierdurch ausgelöste Mehrbedarf an Abstellplätzen in ausreichender Zahl und Größe sowie in geeigneter Beschaffenheit hergestellt wird (notwendige Abstellplätze).
(3) Die Zahl der nach Abs. 1 herzustellenden Abstellplätze bemisst sich nach der dieser Satzung beigefügten Anlage, die verbindlicher Bestandteil dieser Satzung ist. Bei der Abstellplatzberechnung ist jeweils ab einem Wert der ersten Dezimalstelle ab fünf auf einen vollen Abstellplatz aufzurunden.
(4) Abstellplätze sind auf dem Baugrundstück herzustellen und dauerhaft zu unterhalten.
(5) Im Übrigen gilt die Verordnung über die Anforderungen an Abstellplätze für Fahrräder (Fahrradabstellplatzverordnung).
§ 10 Ordnungswidrigkeiten
(1) Ordnungswidrig im Sinne des § 86 Abs. 1 Nr. 23 HBO handelt, wer entgegen
§ § 2 Abs. 1 Anlagen, bei denen ein Zu- oder Abgangsverkehr zu erwarten ist, errichtet, ohne Stellplätze in ausreichender Zahl und Größe sowie in geeigneter Beschaffenheit hergestellt zu haben.
§ § 2 Abs. 2 Änderungen oder Nutzungsänderungen von Anlagen vornimmt, ohne den hierdurch ausgelösten Mehrbedarf an geeigneten Stellplätzen in ausreichender Zahl und Größe sowie in geeigneter Beschaffenheit hergestellt zu haben.
§ § 9 Abs. 1 bei der Errichtung von Anlagen geeignete Abstellplätze für Fahrräder nicht in solcher Zahl herstellt, dass sie für die ordnungsgemäße Nutzung der Anlagen ausreichen.
§ § 9 Abs. 2 Änderungen oder Nutzungsänderungen von Anlagen vornimmt, ohne den hierdurch ausgelösten Mehrbedarf an geeigneten Stellplätzen in ausreichender Zahl und Größe sowie in geeigneter Beschaffenheit hergestellt zu haben.
(2) Die Ordnungswidrigkeit kann mit einer Geldbuße bis zu 15.000 EUR geahndet werden.
(3) Das Gesetz über Ordnungswidrigkeiten (OWiG) in der Fassung der Bekanntmachung vom 19. Februar 1987 (BGBl. I S. 602), zuletzt geändert durch
Art. 31 des Gesetzes vom 05.10.2021 (BGBl. 4607) findet in seiner jeweils gültigen Fassung Anwendung.
(4) Zuständige Verwaltungsbehörde im Sinne des § 36 Abs. 1 Nr. 1 OWiG ist der Magistrat der Stadt Kirtorf.
§ 11 Inkrafttreten
(1) Diese Satzung tritt am Tage nach Vollendung ihrer öffentlichen Bekanntmachung in Kraft.
(2) Die Stellplatzsatzung vom 02.11.1995 tritt mit dem gleichen Zeitpunkt außer Kraft.
(3) Abweichende bauordnungsrechtliche Festsetzungen in Bebauungsplänen bleiben unberührt.
Kirtorf, 12. Juni 2025 gez. Christoph Lück - Bürgermeister
Ausfertigungsvermerk
Es wird bestätigt, dass der Inhalt dieser Satzung mit den hierzu ergangenen Beschlüssen der Stadtverordnetenversammlung übereinstimmt und dass die für die Rechtswirksamkeit maßgebenden Verfahrensvorschriften eingehalten wurden.
Kirtorf, 21.11. 2025 gez. Christoph Lück - Bürgermeister
Bekanntmachungsvermerk:
Die vorstehend ausgefertigte Satzung wurde am 24.11.2025 auf der Homepage der Stadt Kirtorf öffentlich bekannt gemacht.
Öffentliche Mahnung der Fälligkeit von Steuern und Abgaben - Quartalszahler -
Amtliche Bekanntmachung
Die Stadtkasse der Stadt Kirtorf macht darauf aufmerksam, dass
zum 15. November 2025
folgende Steuern und Gebühren fällig waren:
Gewerbesteuer Quartalszahler
Spielapparatesteuer Quartalszahler
Grundsteuer Quartalszahler
Wasser und Kanalbenutzungsgebühren Quartalszahler
Die Abgabepflichtigen, die mit der Entrichtung der genannten Steuern und Gebühren im Rückstand sind, werden hierdurch öffentlich gemahnt, die Rückstände bis spätestens 08. Dezember 2025 an die Stadtkasse Kirtorf zu zahlen.
Nach dem 08. Dezember 2025 werden die fällig gewesenen Abgaben im Wege des Verwaltungszwangsverfahrens nach den landesrechtlichen Bestimmungen zwangsweise eingezogen und aufgrund § 240 Abgabenordnung (AO) Säumniszuschläge in Höhe von eins vom Hundert des auf volle 50,00 € nach unten abgerundetem Betrag berechnet.
Für diese öffentliche Steuermahnung wird keine Gebühr erhoben. Wird jedoch wegen der gleichen Forderung eine persönliche Mahnung schriftlich wiederholt, ist diese gem. § 1 der Vollstreckungskostenordnung zum Hessischen
Verwaltungsvollstreckungsgesetz gebührenpflichtig.
Kirtorf, 24.11.2025
Stadtkasse Kirtorf
Hahn
Kassenleiterin
Öffentlich bekannt gemacht ab dem 24.11.2025 auf der Homepage der Stadt Kirtorf unter www.stadt-kirtorf.de/bekanntmachungen.
Vorkaufsrechtssatzung der Stadt Kirtorf
Gemäß den §§ 5, 7, 50 und 51 der Hessischen Gemeindeordnung (HGO) in der Fassung der Bekanntmachung vom 07.03.2005 (GVBI. I S. 142), zuletzt geändert durch Gesetz vom 01.04.2025 (GVBI. 2025 Nr. 24), in Verbindung mit § 25 Abs. 1 Nr. 2 des Baugesetzbuches (BauGB) in der Fassung vom 03.11.2017 (BGBI. I S. 3634), hat die Stadtverordnetenversammlung der Stadt Kirtorf in ihrer Sitzung am 11.09.2025 folgende Satzung beschlossen:
§ 1
Die Stadt Kirtorf macht von der Ermächtigung des § 25 Abs. 1 Nr. 2 BauGB Gebrauch und begründet ein besonderes Vorkaufsrecht an den nachfolgend bezeichneten Grundstücken in der Gemarkung Kirtorf - Heimertshausen.
§ 2
(1) Das Vorkaufsrecht erstreckt sich auf die nachfolgend bezeichneten Grundstücke in der Gemarkung Kirtorf - Heimertshausen, Flur 2, Flurstücke: 8/1, 9/1, 10, 11, 12, 13, 14/1, 14/2, 15, 16, 17, 21/1, 22/2, 22/3.
(2) Der räumliche Geltungsbereich der Satzung ist in der beigefügten Karte im Maßstab 1:2500 dargestellt. Die Karte ist Bestandteil der Satzung.
§ 3
Die Stadt Kirtorf beabsichtigt in der Gemarkung Kirtorf - Heimertshausen ein Naherholungsgebiet zu entwickeln. Ziel des Vorhabens ist es, der örtlichen Bevölkerung wohnortnahe Flächen für Freizeitgestaltung und Erholung bereitzustellen. Darüber hinaus soll das Vorhaben in besonderem Maße zur Förderung und nachhaltigen Stärkung des städtischen Tourismus beitragen.
§ 4
Diese Satzung tritt am Tage nach ihrer öffentlichen Bekanntmachung in Kraft.
Kirtorf, den 12.09.2025
Siegel
gez. Lück, Bürgermeister
Ausfertigungsvermerk:
Es wird bestätigt, dass der Inhalt dieser Satzung mit dem hierzu ergangenen Beschluss der Stadtverordnetenversammlung vom 11.09.2025 übereinstimmt und dass die für die Rechtsmäßigkeit maßgeblichen Verfahrensvorschriften eingehalten wurden.
Kirtorf, den 13.11.2025
gez. Lück, Bürgermeister
Öffentlich bekannt gemacht ab dem 13.11.2025 auf der Homepage der Stadt Kirtorf unter www.stadt-kirtorf.de/bekanntmachungen.
Außerdem nachrichtlich öffentlich bekannt gemacht im Amtsblatt der Stadt Kirtorf; Ausgabe 11/2025, Erscheinungstag: 28.11.2025
Bekanntmachung der Stadt Kirtorf
Bebauungsplan „Kirtorfer Höfe“
(Bebauungsplan der Innenentwicklung gemäß § 13a BauGB)
a) Aufstellungsbeschluss gemäß § 2 Abs. 1, BauGB
b) Veränderungssperre gemäß §§ 14 und 16 BauGB
a) Aufstellungsbeschluss gemäß § 2 Abs. 1 BauGB
(1) Die Stadtverordnetenversammlung der Stadt Kirtorf beschließt gemäß § 2 Abs.1 BauGB i.V.m. § 13a BauGB die Aufstellung des Bebauungsplanes „Kirtorfer Höfe“ in der Kernstadt im beschleunigten Verfahren (Bebauungsplan der Innenentwicklung).
(2) Die Abgrenzung des räumlichen Geltungsbereiches ist der nachfolgenden Übersichtskarte zu entnehmen. Der Geltungsbereich liegt im Osten der Kernstadt, östlich der Neustädter Straße und westlich der Straße Kirtorfer Höfe. Betroffen sind in der Gemarkung Kirtorf, Flur 1, die Flurstücke 54/1, 54/2, 55/1, 55/2, 56/1, 58/1, 59/3, 70/1 und 325/4.
(3) Der Aufstellungsbeschluss für den Bebauungsplan ist gemäß § 2 Abs.1 Satz 2 BauGB ortsüblich bekannt zu machen.
(4) Ziel des Bebauungsplanes ist die bauplanungsrechtliche Sicherung und städtebauliche Neuordnung der bereits baulich geprägten Fläche, um eine einheitliche und den Örtlichkeiten angepasste Genehmigungsgrundlage zu schaffen. Dafür soll ein Urbanes Gebiet i.S.d. § 6a BauNVO ausgewiesen werden. In dem betroffenen Gebiet wurde bereits eine städtebauliche Entwicklung zur Daseinsvorsorge initiiert. Es befinden sich bereits zwei Ärztehäuser und eine Tagespflege dort. Zudem ist im Bereich der Neustädter Straße 3 - 7 die Errichtung einer Apotheke geplant. Das Angebot soll durch die Schaffung von Mietwohnungen, einem Cafe und Coworking-Arbeitsplätzen ergänzt werden. Hierdurch wird der Bereich städtebaulich geordnet und die planungsrechtlichen Voraussetzungen für eine Entwicklung und Nachverdichtung angepasst.
(5) Gemäß § 13a Abs. 2 Nr. 1 BauGB i.V.m. § 13 Abs. 3 Satz 1 BauGB wird darauf hingewiesen, dass von der Umweltprüfung nach § 2 Abs. 4 BauGB, von dem Umweltbericht nach § 2a BauGB und von der Angabe nach § 3 Abs. 2 Satz 4 BauGB, welche Arten umweltbezogener Informationen verfügbar sind, abgesehen wird.
(6) Die Beteiligung der Öffentlichkeit gemäß § 3 Abs. 2 BauGB sowie die Beteiligung der Behörden und sonstiger Träger öffentlicher Belange gemäß § 4 Abs. 2 BauGB sind einzuleiten.
b) Veränderungssperre gemäß §§ 14 und 16 BauGB
Auf Grundlage der §§ 14 und 16 BauGB wird zur Sicherung der Planung folgende Veränderungssperre als Satzung beschlossen:
(1) Die Stadtverordnetenversammlung der Stadt Kirtorf hat gemäß § 2 Abs. 1 BauGB i.V.m. § 13a BauGB den Aufstellungsbeschluss für den Bebauungsplan „Kirtorfer Höfe“ in der Kernstadt im beschleunigten Verfahren (Bebauungsplan der Innenentwicklung) beschlossen.
(2) Der räumliche Geltungsbereich der Veränderungssperre entspricht dem räumlichen Geltungsbereich des genannten Bebauungsplanes entsprechend der Anlage (Übersichtskarte), der Bestandteil dieses Beschlusses ist. Die Abgrenzung des Geltungsbereiches der Veränderungssperre ist der beiliegenden Übersichtskarte zu entnehmen und beinhaltet in der Gemarkung Kirtorf, Flur 1, die Flurstücke 54/1, 54/2, 55/1, 55/2, 56/1, 58/1, 59/3, 70/1 und 325/4.
(3) In dem von der Veränderungssperre betroffenen Gebiet dürfen Vorhaben i.S. § 29 BauGB nicht durchgeführt oder bauliche Anlagen nicht beseitigt werden, erhebliche oder wesentlich wertsteigernde Veränderungen von Grundstücken und baulichen Anlagen, deren Veränderungen nicht genehmigungs-, zustimmungs- oder anzeigepflichtig sind, nicht vorgenommen werden.
(4) Vorhaben i.S. § 29 BauGB sind:
a) Vorhaben, die die Errichtung, Änderung oder Nutzungsänderung von baulichen Anlagen zum Inhalt haben und die einer bauaufsichtlichen Genehmigung oder Zustimmung bedürfen oder die der Bauaufsichtsbehörde angezeigt werden müssen, oder über die in einem anderen Verfahren (z.B. Bundesimmissionsschutzgesetz) entschieden wird;
b) Aufschüttungen und Abgrabungen größeren Umfangs sowie Ausschachtungen, Ablagerungen einschl. Lagerstätten, auch wenn sie keine Vorhaben nach a) sind;
Wenn überwiegende öffentliche Belange nicht entgegenstehen, kann von der Veränderungssperre eine Ausnahme zugelassen werden.
Vorhaben, die vor Inkrafttreten der Veränderungssperre baurechtlich genehmigt worden sind, Unterhaltungsarbeiten und die Fortführung einer bisher ausgeübten (genehmigten oder zulässigen) Nutzung werden von der Veränderungssperre nicht berührt.
(5) Die Veränderungssperre tritt am Tage der ortsüblichen Bekanntmachung in Kraft. Sie tritt nach Ablauf von 2 Jahren, vom Tag der Bekanntmachung gerechnet, außer Kraft. Sie tritt auf jeden Fall außer Kraft, sobald und soweit die Bauleitplanung rechtsverbindlich abgeschlossen ist.
Hinweis gemäß § 18 Abs. 3 Satz 2 BauGB:
Dauert die Veränderungssperre länger als vier Jahre über den Zeitpunkt ihres Beginns oder der ersten Zurückstellung eines Baugesuchs nach § 15 Abs. 1 BauGB hinaus, ist dem Betroffenen nach § 18 Abs.1 BauGB für die dadurch eingetretenen Vermögensnachteile eine angemessene Entschädigung in Geld zu leisten. Die Fälligkeit dieses Entschädigungsanspruchs wird dadurch herbeigeführt, dass der Berechtigte die Leistung der Entschädigung schriftlich bei dem Entschädigungspflichtigen beantragt.
Kirtorf, 12.09.2025
gez. Lück, Bürgermeister
Öffentlich bekannt gemacht ab dem 13.11.2025 auf der Homepage der Stadt Kirtorf unter www.stadt-kirtorf.de/bekanntmachungen.
Amt für Bodenmanagement Fulda
-Flurbereinigungsbehörde-
Außenstelle Lauterbach
Peter-Grünberg-Platz 1, 36341 Lauterbach
E-Mail: info.afb-fulda@hvbg.hessen.de
Öffentliche Bekanntmachung
Gz.: 2-FD-05-12-80-01-B-0002#001
Flurbereinigungsverfahren
Alsfeld-Schwalm
Verfahrensnummer: VF 1280
Ladung zur Teilnehmerversammlung mit Neuwahl des Vorstandes der Teilnehmergemeinschaft
In dem Flurbereinigungsverfahren Alsfeld-Schwalm lade ich gemäß § 21 Abs. 2 Flurbereinigungsgesetz (FlurbG) - vom 16. März 1976 (BGBl. I S. 546) in der derzeit geltenden Fassung - in Verbindung mit § 3 Hessisches Ausführungsgesetz zum Flurbereinigungsgesetz (HAGFlurbG) vom 29. November 2010 (GVBl. I S. 426) in der derzeit geltenden Fassung die Teilnehmerinnen und Teilnehmer, also alle Eigentümerinnen und Eigentümer sowie Erbbauberechtigten der zum Flurbereinigungsgebiet gehörenden Grundstücke zur Neuwahl des Vorstandes der Teilnehmergemeinschaft am
Mittwoch, den 3. Dezember 2025 um 19:00 Uhr
in das Dorfgemeinschaftshaus Alsfeld-Eudorf
An der Welzbach 18, 36304 Alsfeld
ein.
Wahlberechtigt sind alle am Wahltermin anwesenden Grundstückseigentümerinnen und -eigentümer sowie Erbbauberechtigte oder deren Bevollmächtigte. Ich bitte Sie, einen Identitätsnachweis mitzubringen.
Jede Teilnehmerin und jeder Teilnehmer oder Bevollmächtigte hat eine Stimme; gemeinschaftliche Eigentümer gelten als ein Teilnehmer. Sofern ein Wahlberechtigter durch Vollmacht mehrere Personen vertritt, hat er insgesamt nur eine Stimme.
Teilnehmerinnen und Teilnehmer, die am Termin verhindert sind, können sich durch eine mit schriftlicher Vollmacht versehene bevollmächtigte Person vertreten lassen. Diese Vollmacht ist im Wahltermin vorzulegen.
Die Ladung sowie Vollmachtsvordrucke sind auch auf der Internetseite www.hvbg.hessen.de/VF1280 unter der Rubrik Downloads verfügbar.
Hinweis: Eine bevollmächtigte Person kann bei der Wahl des Vorstandes der Teilnehmergemeinschaft nur das Stimmrecht einer vollmachtgebenden Person wahrnehmen. Wird eine Teilnehmerin oder ein Teilnehmer bevollmächtigt, kann diese/r entweder das eigene Stimmrecht oder das Stimmrecht einer vollmachtgebenden Person wahrnehmen.
Wählbar sind auch Personen, die nicht am Flurbereinigungsverfahren beteiligt sind. Ebenso können auch am Wahltermin abwesende Personen gewählt werden, wenn die Bereitschaft hierzu schriftlich im Wahltermin vorgelegt wird. Gewählt sind diejenigen, welche die meisten Stimmen erhalten (§ 21 Abs. 3 FlurbG).
Bei Rückfragen können Sie sich an die nachstehenden Beschäftigten des Amtes für Bodenmanagement Fulda wenden.
Timo Karl Tel. Nr.: 0611/535-1470, E-Mail:timo.karl@hvbg.hessen.de
Volker Ziegler Tel. Nr.: 0611/535-1467, E-Mail:volker.ziegler@hvbg.hessen.de
Bekanntmachung
Diese Ladung wird in der Flurbereinigungsgemeinde Alsfeld sowie in den angrenzenden Städten und Gemeinden Romrod, Kirtorf, Antrifttal, Willingshausen, Schrecksbach, Ottrau, Breitenbach a. Herzberg, Grebenau und Schwalmtal öffentlich bekannt gemacht.
Datenschutz
Die Datenschutzerklärung für das Flurbereinigungsverfahren kann im Internet unter der Adresse https://hvbg.hessen.de/datenschutz eingesehen werden.
Lauterbach, 06.11.2025
Amt für Bodenmanagement Fulda
Im Auftrag
gez. Karl (Verfahrensleitung)
Bekanntmachung veröffentlicht auf der Homepage unter www.stadt-kirtorf.de/bekanntmachungen am 07.11.2025
Amtliche Bekanntmachung
Der Wahlleiter der Stadt Kirtorf
Aufforderung zur Einreichung von Wahlvorschlägen für die allgemeinen Kommunalwahlen am 15. März 2026
Hiermit fordere ich zur Einreichung von Wahlvorschlägen für die am 15. März 2026 stattfindende Kommunalwahl auf.
Die Wahl erfolgt auf Grund von Wahlvorschlägen, die den gesetzlichen Erfordernissen der §§ 10 bis 13 des Kommunalwahlgesetzes - KWG - entsprechen. Wahlvorschläge können von Parteien im Sinne des Artikels 21 des Grundgesetzes und von Wählergruppen eingereicht werden.
Eine Partei oder Wählergruppe kann in jedem Wahlkreis nur einen Wahlvorschlag einreichen. Die Verbindung von Wahlvorschlägen mehrerer Parteien oder Wählergruppen ist nicht zulässig.
Der Wahlvorschlag muss den Namen der Partei oder Wählergruppe und, sofern sie eine Kurzbezeichnung verwendet, auch diese tragen. Der Name und die Kurzbezeichnung müssen sich von den Namen und Kurzbezeichnungen bereits bestehender Parteien und Wählergruppen deutlich unterscheiden. Der Wahlvorschlag darf beliebig viele Bewerberinnen und Bewerber enthalten. Die Bewerberinnen und Bewerber sind in erkennbarer Reihenfolge unter Angabe des Familiennamens, Rufnamens, Berufs oder Stands, Tags der Geburt, Geburtsorts und der Anschrift (Hauptwohnung) aufzuführen.
Ist für eine Bewerberin oder einen Bewerber ein Doktorgrad und/oder ein Ordens- oder Künstlername im Pass-, Personalausweis- oder Melderegister eingetragen, kann dieser ebenfalls angegeben werden. Diese Angabe wird dann auch auf den Stimmzettel aufgenommen, § 16 Abs. 2 Satz 3 KWG.
Weist eine Bewerberin oder ein Bewerber bis zum Ablauf der Frist für die Einreichung der Wahlvorschläge (5. Januar 2026) nach, dass im Melderegister eine Auskunftssperre nach § 51 Abs. 1 des Bundesmeldegesetzes eingetragen ist, so wird in den amtlichen Bekanntmachungen und auf dem Stimmzettel nur der Ort der sogenannten Erreichbarkeitsanschrift angegeben. Die Angabe eines Postfachs genügt nicht.
Eine Bewerberin oder ein Bewerber darf für eine Wahl nur auf einem Wahlvorschlag benannt werden. Als Bewerberin oder als Bewerber kann nur vorgeschlagen werden, wer die Zustimmung dazu schriftlich erteilt hat; die Zustimmung ist unwiderruflich.
Neben Deutschen sind auch die hier lebenden Angehörigen der übrigen Mitgliedstaaten der Europäischen Union, die nichtdeutschen Unionsbürgerinnen und Unionsbürger, unter den gleichen Voraussetzungen wie Deutsche wählbar: Sie müssen am Wahltag das achtzehnte Lebensjahr vollendet haben, seit mindestens drei Monaten in der Gemeinde ihren Wohnsitz oder dauernden Aufenthalt haben und dürfen nicht von der Wählbarkeit ausgeschlossen sein.
Der Wahlvorschlag muss von der Vertrauensperson und der stellvertretenden Vertrauensperson persönlich und handschriftlich unterzeichnet sein. Sie werden von der Versammlung benannt, die den Wahlvorschlag aufstellt.
Wahlvorschläge von Parteien oder Wählergruppen, die während der vor dem Wahltag laufenden Wahlzeit nicht ununterbrochen mit mindestens einem Abgeordneten oder Vertreter in der zu wählenden Vertretungskörperschaft oder im Hessischen Landtag oder aufgrund eines Wahlvorschlags aus dem Lande im Bundestag vertreten waren, müssen außerdem von mindestens zweimal so vielen Wahlberechtigten persönlich und handschriftlich unterzeichnet sein, wie Vertreter zu wählen sind (§ 11 Abs. 4 KWG).
Jede wahlberechtigte Person kann nur einen Wahlvorschlag unterzeichnen. Die Wahlberechtigung der unterzeichnenden Person muss im Zeitpunkt der Unterzeichnung gegeben sein und ist bei Einreichung des Wahlvorschlags nachzuweisen.
Die Bewerberinnen und Bewerber für die Wahlvorschläge werden in geheimer Abstimmung in einer Versammlung der Mitglieder der Partei oder Wählergruppe in der Gemeinde/Stadt/Landkreis oder in einer Versammlung der von den Mitgliedern der Partei oder Wählergruppe in der Gemeinde/Stadt/Landkreis aus ihrer Mitte gewählten Vertreterinnen und Vertreter (Vertreterversammlung) aufgestellt und ihre Reihenfolge im Wahlvorschlag festgelegt. Bei der Aufstellung sollen nach Möglichkeit Frauen und Männer gleichermaßen berücksichtigt werden. Vorschlagsberechtigt ist auch jeder Teilnehmer der Versammlung; den Bewerberinnen und Bewerbern ist Gelegenheit zu geben, sich und ihr Programm der Versammlung in angemessener Zeit vorzustellen. Eine Wahl mit verdeckten Stimmzetteln gilt als geheime Abstimmung. Das Nähere über die Wahl der Vertreterinnen und Vertreter für die Vertreterversammlung, über die Einberufung und Beschlussfähigkeit der Mitglieder- oder Vertreterversammlung sowie über das gesetzlich nicht geregelte Verfahren für die Aufstellung von Wahlvorschlägen und für die Benennung der Vertrauenspersonen regeln die Parteien und Wählergruppen.
Über den Verlauf der Versammlung ist eine Niederschrift aufzunehmen. Die Niederschrift muss Angaben über Ort und Zeit der Versammlung, die Form der Einladung und die Zahl der erschienenen Mitglieder oder Vertreter, die Ergebnisse der Abstimmungen sowie über die Vertrauenspersonen und die jeweilige Ersatzperson nach § 11 Abs. 3 Satz 4 KWG enthalten. Die Niederschrift ist von der Versammlungsleiterin oder dem Versammlungsleiter, der Schriftführerin oder dem Schriftführer und zwei weiteren Mitgliedern oder Vertretern zu unterzeichnen; sie haben dabei gegenüber der Wahlleiterin oder dem Wahlleiter an Eides statt zu versichern, dass die Wahl der Bewerberinnen und Bewerber in geheimer Abstimmung erfolgt ist, jede teilnehmende Person der Versammlung vorschlagsberechtigt war und die vorgeschlagenen Personen Gelegenheit hatten, sich und das Programm der Versammlung in angemessener Zeit vorzustellen. Die Wahlleiterin oder der Wahlleiter ist zur Abnahme einer solchen Versicherung an Eides statt zuständig; sie oder er gilt als Behörde im Sinne des § 156 des Strafgesetzbuches.
Es wird darauf hingewiesen, dass die Vertretungskörperschaft einen Beschluss nach § 16 Abs. 2 Satz 4 KWG gefasst hat, wonach auf jedem Stimmzettel zusätzlich zu jeder Bewerberin oder zu jedem Bewerber bei der Wahl der Gemeindevertreter der benannte Gemeindeteil der Hauptwohnung aufgenommen wird.
Die Gemeindeteile sind wie folgt benannt:
Kirtorf, Arnshain, Gleimenhain, Heimertshausen, Lehrbach, Ober-Gleen, Wahlen
Die Wahlvorschläge sind spätestens am 5. Januar 2026 bis 18:00 Uhr während der allgemeinen Öffnungszeiten schriftlich bei der unterzeichnenden Wahlleiterin oder dem unterzeichnenden Wahlleiter
Anschrift: Magistrat der Stadt Kirtorf, Rathaus, Neustädter Straße 10-12, 36320 Kirtorf
einzureichen.
Mit dem Wahlvorschlag sind einzureichen:
Schriftliche Erklärungen der Bewerberinnen und Bewerber, dass sie mit ihrer Benennung in dem Wahlvorschlag einverstanden sind,
eine Bescheinigung des Gemeindevorstands, dass die Bewerberinnen und Bewerber die Voraussetzungen der Wählbarkeit erfüllen,
Namen, Vornamen und Anschrift der Unterstützerinnen und Unterstützer des Wahlvorschlags sowie eine Bescheinigung des Gemeindevorstands über ihre Wahlberechtigung, die Niederschrift über die Versammlung, in der die Bewerberinnen und Bewerber aufgestellt wurden.
Ein Wahlvorschlag kann bis zur Zulassung am 16. Januar 2026 durch gemeinsame schriftliche Erklärung der Vertrauensperson und der stellvertretenden Vertrauensperson ganz oder teilweise zurückgenommen werden.
Nach der Zulassung können Wahlvorschläge nicht mehr geändert oder zurückgenommen werden.
Die Wahlvorschläge sind nach Möglichkeit so frühzeitig vor 5. Januar 2026 einzureichen, dass etwaige Mängel, die die Gültigkeit der Wahlvorschläge berühren, noch rechtzeitig behoben werden können.
Maßgebliche Einwohnerzahl: 3.079 Einwohner.
Zahl der zu wählenden Gemeindevertreterinnen und Gemeindevertreter: 23
Ortsbezirke und jeweils Zahl der zu wählenden Ortsbeiratsmitglieder: 7
Kirtorf, Arnshain, Heimertshausen, Ober-Gleen, Wahlen
Ortsbezirke und jeweils Zahl der zu wählenden Ortsbeiratsmitglieder: 5
Gleimenhain, Lehrbach
Ort, Datum
Kirtorf, 23.09.2025
gez. Schindler, Wahlleiter
Unterschrift
Auslegung von Unterlagen gemäß § 10 Abs. 1 Satz 8 der Neunten Verordnung
zur Durchführung des Bundes-Immissionsschutzgesetzes (9. BImSchV).
Die Fritz Winter Eisengießerei GmbH & Co. KG, 35254 Stadtallendorf, Albert-Schweitzer- Straße 15 hat einen Antrag gestellt auf Erteilung einer immissionsschutzrechtlichen Genehmigung zur wesentlichen Änderung der bestehenden Eisengießerei durch den Umbau der bestehenden Kernmacherei 14. Im Rahmen des Genehmigungsverfahrens wird eine Umweltverträglichkeitsprüfung durchgeführt.
Der Standort der Anlage befindet sich in Stadtallendorf
Gemarkung: Stadtallendorf, Flur: 44, Flurstück: 260/1, 260/3, 441
Durch das Vorhaben sollen drei neue Kernschießmaschinen mit einer Kapazität von je 12 t/h sowie zugehöriger Sandanlagen und einem Kerntrockenofen nebst notwendigen Peripherien
realisiert werden. Die Kernschießmaschinen arbeiten mit einem aminbasierten
Bindersystem.
Die genehmigte Verarbeitungskapazität an Flüssigeisen am Standort bleibt durch das Vorhaben unberührt.
Die Antragsunterlagen sowie der Bekanntmachungstext werden in der Zeit vom 23.09.2025 (erster Tag) bis 22.10.2025 (letzter Tag) auf der Internetseite des Regierungspräsidiums Gießen elektronisch zur Einsichtnahme bereitgestellt und können dort wie folgt abgerufen
Homepage des Regierungspräsidiums Gießen (https://rp-giessen.hessen.de/) unter Menü“ → unter der Rubrik „Ansprechen“ „Öffentliche Bekanntmachungen“ anwählen.
Satzung zur Änderung der
Hauptsatzung der Stadt Kirtorf
Aufgrund des § 6 der Hessischen Gemeindeordnung (HGO) in der Fassung der Bekanntmachung vom 07.03.2005 (GVBL. I S. 142), zuletzt geändert durch Artikel 1 des Gesetzes vom 1. April 2025 (GVBl. 2025 Nr. 24) beschließt die Stadtverordnetenversammlung nachstehende Satzung zur Änderung der Hauptsatzung:
Artikel 1
In § 4 Magistrat – wird im Absatz 2 die Anzahl der Stadträte auf 6 reduziert.
Artikel 2
In § 5 Ortsbeirat – wird in Absatz 3 die Zahl der Mitglieder der Ortsbeirates im Stadtteil, Lehrbach auf 5 festgesetzt.
Artikel 3
In § 6 Ausschüsse der Stadtverordnetenversammlung – wird die Anzahl der Ausschüsse auf zwei festgelegt.
1.
„Haupt-, Finanz- und Bauausschuss“ (HFBA).
Die Mitgliederanzahl beträgt 11.
2. Ausschuss für Landwirtschaft, Umwelt, Kultur und Soziales“ (LUKS)
Die Mitgliederanzahl beträgt 7.
Artikel 4
§ 7 Öffentliche Bekanntmachungen – wird wie folgt neu gefasst:
(1) Satzungen, Verordnungen, öffentliche Bekanntmachungen nach dem Kommunalwahlgesetz und den aufgrund des Kommunalwahlgesetzes ergangenen Rechtsverordnungen sowie andere Gegenstände, deren öffentliche Bekanntmachung erforderlich ist, werden durch Bereitstellung auf der Internetseite im Sinne von § 5a BekanntmachungsVO der Stadt Kirtorf unter www.stadt-kirtorf.de/bekanntmachungen unter Angabe des Bereitstellungstages öffentlich bekannt gemacht.
Jede Person hat das Recht, im Internet bekannt gemachte Satzungen und Verordnungen der Gemeinde während der öffentlichen Sprechzeiten der Verwaltung in Papierform einzusehen und sich gegen Kostenerstattung entsprechende Ausdrucke fertigen zu lassen. Auf dieses Recht wird auch auf der Internetseite der Gemeinde hingewiesen.
Die Möglichkeit der öffentlichen Bekanntmachung auf der Internetseite gilt nicht im Bauleitplanverfahren. Hier erfolgt eine öffentliche Bekanntmachung mit Abdruck in der Oberhessischen Zeitung im Sine von § 1 Abs. 1 BekanntmachungsVO.
Satzungen sind mit ihrem vollen Wortlaut bekannt zu machen. Gesetzlich vorgeschriebene Genehmigungen sind zugleich mit der Satzung öffentlich bekannt zu machen. Die Bekanntmachung ist mit Ablauf des Bereitstellungstages im Internet vollendet.
(2) Abweichend von Abs. 1 werden die Ladungen zu den Sitzungen der Stadtverordnetenversammlung, ihrer Ausschüsse und der Ortsbeiräte durch Aushang an folgenden Bekanntmachungstafeln öffentlich bekannt gemacht:
Stadtteil: Standpunkt:
Kirtorf Rathausfoyer, Neustädter Straße 10-12
Gleentalhalle, Rabenbornsweg 14
Raiffeisenstraße 1
Grüner Weg 6
Arnshain Feuerwehrgerätehaus, Kirtorfer Str. 2
Gleimenhain Jugendraum , Zollhausstraße 20
Heimertshausen Gebäude Salzmann, Zeller Str. 5
Lehrbach Hauptstraße 32
Ober-Gleen Dorfplatz, Am Komp
Wahlen Neustädter Weg 29
Die Bekanntmachungstafeln sind so einzurichten, dass sie der Öffentlichkeit jederzeit zugänglich sind. Auf den bekannt zu machenden Schriftstücken ist zu vermerken, von wann bis wann ausgehängt wird; auf den bekannt gemachten Schriftstücken sind Ort und Zeitpunkt des Aushanges und der Zeitpunkt der Abnahme unterschriftlich zu bescheinigen.
Die öffentliche Bekanntmachung ist mit dem Ablauf des ersten Tages ihres Aushanges an den dafür bestimmten Bekanntmachungstafeln vollendet. Der Tag des Aushanges und der Tag der Abnahme zählen bei dieser Frist nicht mit. Die bekannt zu machenden Schriftstücke dürfen frühestens am Tage nach der Sitzung abgenommen werden.
(3) Satzungen, Verordnungen und sonstige öffentliche Bekanntmachungen treten am Tage nach Vollendung der Bekanntmachung in Kraft, sofern sie selbst keinen anderen Zeitpunkt bestimmen.
(4) Sind Karten, Pläne oder Zeichnungen und damit verbundene Texte und Erläuterungen bekannt zu machen, so werden sie abweichend von Abs. 1 für die Dauer von 7 Arbeitstagen, wenn gesetzlich nicht ein anderer Zeitraum vorgeschrieben ist, während der Dienststunden der Stadtverwaltung in Kirtorf Neustädter Str. 10 – 12 zur Einsicht für jede Person ausgelegt. Gegenstand, Ort (Gebäude und Raum), Tageszeit und Dauer der Auslegung werden spätestens am Tage vor deren Beginn nach Abs. 1 öffentlich bekannt gemacht. Gleiches gilt, wenn eine Rechtsvorschrift öffentliche Auslegung vorschreibt und keine besonderen Bestimmungen enthält. Die öffentliche Bekanntmachung ist mit Ablauf des Tages vollendet, an dem der Auslegungszeitraum endet.
(5) Die Veröffentlichung der Entwürfe der Bauleitpläne (Bebauungspläne oder Flächennutzungspläne) nach § 3 BauGB ist unter Angabe der Internetseite oder Internetadresse und Dauer der Veröffentlichungsfirst sowie Angaben dazu, welche Arten umweltbezogener Informationen verfügbar sind, vor Beginn der Veröffentlichung öffentlich bekannt zu machen. Diese Bekanntmachung muss darüber hinaus den Gegenstand (genaue Bezeichnung des Entwurfs) benennen. Die Dauer der Veröffentlichung bestimmt sich nach § 3 Abs. 2 S. 1 BauGB. In der Bekanntmachung ist darauf hinzuweisen,
1. dass Stellungnahmen während der Dauer der Veröffentlichungsfirst abgegeben werden können,
2. dass Stellungnahmen elektronisch übermittelt werden sollen, bei Bedarf aber auch auf anderem Weg abgegeben werden können,
3. dass nicht fristgerecht abgegebene Stellungnahmen bei der Beschlussfassung über den Bauleitplan unberücksichtigt bleiben können und
4. welche anderen leicht zu erreichenden Zugangsmöglichkeiten nach § 3 Abs. 2 Satz 2 BauGB bestehen.
Daneben sind nach Maßgabe des § 3 Abs. 2 S. 5 Bau GB der Inhalt dieser Bekanntmachung in das Internet einzustellen; die zu veröffentlichenden Unterlagen und der Inhalt der Bekanntmachung sind über das zentrale Internetportal des Landes zugänglich zu machen.
(6) Soll ein Bauleitplan (Bebauungsplan oder Flächennutzungsplan) in Kraft gesetzt werden, macht die Stadt nach Abs. 1 bekannt, dass der Bauleitplan beschlossen bzw. die Genehmigung erteilt wurde. Der Bauleitplan kann während der Dienststunden der Stadtverwaltung in Kirtorf, Neustädter Straße 10-12, Rathaus Zimmer 2 eingesehen werden, worauf in der öffentlichen Bekanntmachung unter Angaben der Dienststunden (Tageszeit) und des Auslegungsortes (Gebäude und Raum) hinzuweisen ist.
In der Bekanntmachung ist auch darauf hinzuweisen, dass die Dauer der Auslegung zeitlich nicht begrenzt ist. Die Stadt hält Bauleitplan, Begründung und die zusammenfassende Erklärung nach §6a bzw. 5 bzw. §10a BauGB mit Wirksamwerden der Bekanntmachung zur Einsicht für jede Person bereit und gibt über ihren Inhalt auf Verlangen Auskunft. Mit der Bekanntmachung tritt der Bauleitplan in Kraft. Wirksame Bauleitpläne sollen mit der Begründung und der zusammenfassenden Erklärung ergänzt auch in das Internet eingestellt und über das zentrale Internetportal des Landes zugänglich gemacht werden.
Gleiches gilt für die Ersatzverkündung von Satzungen, deren Rechtsgrundlage auf §10 Abs. 3 BauGB verweist.
(7) Kann die Bekanntmachungsform nach Abs. 1 und 2 wegen eines Naturereignisses oder anderer unabwendbarer Zufälle nicht angewandt werden, so genügt jede andere Art der Bekanntgabe, insbesondere durch Anschlag oder öffentlichen Ausruf. In diesen Fällen wird die Bekanntmachung, sofern sie nicht den durch Zeitablauf gegenstandlos geworden ist, in der Form des Abs. 1 und 2 unverzüglich nachgeholt.
Artikel 5
Alle übrigen Bestimmungen der Hauptsatzung der Stadt Kirtorf in der Fassung vom 08.05.2015, zuletzt geändert mit Wirkung vom 01.04.2023 bleiben unverändert bestehen.
Artikel 6
Die Änderungssatzung tritt am Tag nach der Bekanntmachung in Kraft.
Die Änderung der §§ 4,5 und 6 der Hauptsatzung finden erstmalig nach der Kommunalwahl im März 2026 Anwendung.
Kirtorf, den 11.09.2025
(Siegel) _________________________
Christoph Lück
Bürgermeister
Ausfertigungsvermerk:
Es wird bestätigt, dass der Inhalt dieser Satzung mit dem hierzu ergangenen Beschluss der Stadtverordnetenversammlung übereinstimmt und dass die für die Rechtsmäßigkeit maßgeblichen Verfahrensvorschriften eingehalten wurden.
Kirtorf, den 11.09.2025 _________________________
Christoph Lück
Bürgermeister
Öffentlich Bekanntgemacht ab dem 15.09.2025 auf der Homepage der Stadt Kirtorf unter www.stadt-kirtorf.de/bekanntmachungen.
Haushaltssatzung und Bekanntmachung der Haushaltssatzung des
Zweckverbandes Soziale Dienste Antrifttal/Kirtorf für das Jahr 2025
I. Haushaltssatzung
Aufgrund der §§ 94 ff. der Hessischen Gemeindeordnung (HGO) in der Fassung der Bekanntmachung vom 07. März 2005 (GVBl. I S. 142), zuletzt geändert durch Artikel11 des Gesetzes vom 03. März 2025 (2025 Nr. 16) , hat die Verbandsversammlung am 26.05.2025 folgende Haushaltssatzung beschlossen:
§ 1
Der Haushaltsplan für das Haushaltsjahr 2025 wird
im Ergebnishaushalt
im ordentlichen Ergebnis
mit dem Gesamtbetrag der Erträge auf 1.253.815,00 €
mit dem Gesamtbetrag der Aufwendungen auf 1.248.430,00 €
mit einem Saldo von 5.385,00 €
im außerordentlichen Ergebnis
mit dem Gesamtbetrag der Erträge auf
0,00 €
mit dem Gesamtbetrag der Aufwendungen auf 0,00 €
mit einem Saldo von 0,00 €
ausgeglichen mit einem Überschuss von
5.385,00 €
im Finanzhaushalt
mit dem Saldo aus den Einzahlungen und Auszahlungen
aus laufender Verwaltungstätigkeit auf 6.954,00 €
und dem Gesamtbetrag der
Einzahlungen aus Investitionstätigkeit auf 4.951,00 €
Auszahlungen aus Investitionstätigkeit auf 4.951,00 €
mit einem Saldo von
0,00 €
Einzahlungen aus Finanzierungstätigkeit auf 0,00 €
Auszahlungen aus Finanzierungstätigkeit auf 0,00 €
mit einem Saldo von 0,00 €
ausgeglichen/ mit einem Finanzmittelüberschluss/
Finanzmittelfehlbedarf des Haushaltsjahres von 6.954,00 €
festgesetzt.
§ 2
Der Gesamtbetrag der Kredite, deren Aufnahme im Haushaltsjahr 2025 zur Finanzierung von Investitionen
und Investitionsförderungsmaßnahmen erforderlich ist, wird auf 0 € festgesetzt.
§ 3
Verpflichtungsermächtigungen werden nicht veranschlagt.
§ 4
Der Höchstbetrag der Liquiditätskredite, die im Haushaltsjahr 2025 zur rechtzeitigen Leistung von
Auszahlungen in Anspruch genommen werden dürfen, wird auf 150.000,00 € festgesetzt.
§ 5
Von den Verbandsgemeinden wird eine Umlage erhoben.
Die Umlage aufgrund der Rückführung des Liquiditätskredites wird im Rahmen der Haushaltssatzung 2025
auf 20.000 € festgesetzt.
Kirtorf 12.656,50
Antrifttal
7.357,62
20.000,00
§ 6
Es gilt das von der Verbandsversammlung beschlossene Haushaltssicherungskonzept.
§ 7
Es gilt der von der Verbandsversammlung, als Teil des Haushaltsplans, beschlossene Stellenplan.
Kirtorf, 26.05.2025
Zweckverbandes Soziale Dienste
Antrifftal/Kirtorf
(Siegel)
gez. Lück
Verbandsvorsteher
Ausfertigung:
Es wird bestätigt, dass der Inhalt dieser Satzung mit dem/ den hierzu ergangenen Beschluss/ Beschlüssen
der Verbandsversammlung übereinstimmt und dass die für die Rechtswirksamkeit maßgebenden Verfahrensvorschriften eingehalten wurden.
Kirtorf, den 08.09.2025
Zweckverband Soziale Dienste
Antrifftal/Kirtorf
(Siegel)
gez. Lück
Verbandsvorsteher
Die vorstehende Haushaltssatzung für das Haushaltsjahr 2025 wird hiermit öffentlich bekannt gemacht.
Die nach § 18 Abs. 1 KGG i.V.m. §§ 102 Abs. 4, 103 Abs. 2 und 105 Abs. 2 HGO erforderliche(n)
Genehmigung(en) der Aufsichtsbehörde zu den Festsetzungen in den §§ 2, 3 und 4 der Haushaltssatzung
sind erteilt. Sie hat (haben) folgenden Wortlaut:
Genehmigung
Hiermit genehmige ich gemäß § 18 des Gesetzes über kommunale Gemeinschaftsarbeit (KGG) i.V.m.
§ 97a der Hessischen Gemeindeordnung (HGO)
1. den in § 4 der Haushaltssatzung des ZSD für das Haushaltsjahr genannten Höchst-
betrag der Liquiditätskredite, die im Haushaltsjahr 2025 zur rechtzeitigen Leistung
von Auszahlungen in Anspruch genommen werden dürfen, in Höhe von
150.000,00 €
(in Worten: einhundertfünfzigtausend Euro).
gemäß § 105 Abs. 2 HGO.
Der Landrat des Vogelsbergkreise
als Behörde der Landesverwaltung
gez. Dr. Mischak
Landrat
Der Haushaltsplan wird zur Einsichtsnahme ab dem 10.09.2025 auf der Homepage der Stadt Kirtorf
(www.stadt-kirtorf.de/bekanntmachungen) veröffentlicht.
Kirtorf, den 08.09.2025
Zweckverband Soziale Dienste
Antrifftal/Kirtorf
(Siegel)
gez. Lück
Verbandsvorsteher
Öffentliche Mahnung der Fälligkeit von Steuern und Abgaben - Quartalszahler -
Amtliche Bekanntmachung
Die Stadtkasse der Stadt Kirtorf macht darauf aufmerksam, dass zum 15. August 2025
folgende Steuern und Gebühren fällig waren:
Quartalszahler:
Gewerbesteuer
Spielapparatesteuer
Grundsteuer
Wasser und Kanalbenutzungsgebühren
Die Abgabepflichtigen, die mit der Entrichtung der genannten Steuern und Gebühren im Rückstand sind, werden hierdurch öffentlich gemahnt, die Rückstände bis spätestens 30. September 2025 an die Stadtkasse Kirtorf zu zahlen.
Nach dem 30. September 2025 werden die fällig gewesenen Abgaben im Wege des Verwaltungszwangsverfahrens nach den landesrechtlichen Bestimmungen zwangsweise eingezogen und aufgrund § 240 Abgabenordnung (AO) Säumniszuschläge in Höhe von eins vom Hundert des auf volle 50,00 € nach unten abgerundeten Betrages berechnet.
Für diese öffentliche Steuermahnung wird keine Gebühr erhoben. Wird jedoch wegen der gleichen Forderung eine persönliche Mahnung schriftlich wiederholt, ist diese gem. § 1 der Vollstreckungskostenordnung zum Hessischen Verwaltungsvollstreckungsgesetz gebührenpflichtig.
Kirtorf, 29.08.2025
Stadtkasse Kirtorf
Hahn
Kassenleiterin
Öffentliche Mahnung der Fälligkeit von Steuern und Abgaben - Jahreszahler -
Amtliche Bekanntmachung
Die Stadtkasse der Stadt Kirtorf macht darauf aufmerksam, dass zum 01. Juli 2025
folgende Steuern und Gebühren fällig waren:
Grundsteuer A und B Jahreszahler
Hundesteuer Jahreszahler
Die Abgabepflichtigen, die mit der Entrichtung der genannten Steuern und Gebühren im Rückstand sind, werden hierdurch öffentlich gemahnt, die Rückstände bis spätestens 15. August 2025 an die Stadtkasse Kirtorf zu zahlen.
Nach dem 15. August 2025 werden die fällig gewesenen Abgaben im Wege des Verwaltungszwangsverfahrens nach den landesrechtlichen Bestimmungen zwangsweise eingezogen und aufgrund § 240 Abgabenordnung (AO) Säumniszuschläge in Höhe von eins vom Hundert des auf volle 50,00 € nach unten abgerundeten Betrages berechnet.
Für diese öffentliche Steuermahnung wird keine Gebühr erhoben. Wird jedoch wegen der gleichen Forderung eine persönliche Mahnung schriftlich wiederholt, ist diese gem. § 1 der Vollstreckungskostenordnung zum Hessischen Verwaltungsvollstreckungsgesetz gebührenpflichtig.
Kirtorf, 25.07.2025
Stadtkasse Kirtorf
Hahn
Kassenleiterin
Bekanntmachungsvermerk:
Der vorstehende Beschluss wurde am 25.07.2025 auf der Homepage der Stadt Kirtorf (www.stadt-kirtorf.de/bekanntmachungen) öffentlich bekannt gemacht.
Öffentliche Bekanntmachung der Stadt Kirtorf
1. Beschlussfassung über den Jahresabschluss 2017
Gemäß § 114 Abs. 1 der Hessischen Gemeindeordnung (HGO) in der Fassung vom 07.03.2005 (GVBI. I. S. 142), zuletzt mehrfach geändert durch Artikel 1 des Gesetzes vom 1. April 2025 (GVBl. 2025 Nr. 24), wird öffentlich bekanntgemacht, dass die Stadtverordnetenversammlung in der Sitzung am 24.04.2025 folgenden Beschluss gefasst hat:
1. Der vom Revisionsamt des Landkreises Vogelsbergkreises abschließend geprüfte und mit
einem eingeschränkten Prüfungsvermerk versehene Jahresabschluss der Stadt Kirtorf zum 31.12.2017 mit einer Bilanzsumme von 19.860.446,17 € sowie einem Jahresüberschuss (ordentliches incl. außerordentliches Ergebnis) in Höhe von – 609.123,46 € wird hiermit beschlossen.
2. Dem Magistrat wird gemäß § 114 Abs. 1 HGO für das Haushaltsjahr 2017 Entlastung erteilt.
3. Der Jahresfehlbetrag 2017 wird gem. § 24 Abs. 3 GemHVO auf zukünftige Rechnungen vorgetragen.
2. Auslegung
Der vorstehende Beschluss wird hiermit öffentlich bekannt gemacht.
Der Jahresabschluss 2017 wird mit Rechenschaftsbericht zur Einsichtnahme ab dem 04.07.2025 auf der Homepage der Stadt Kirtorf (www.stadt-kirtorf.de/bekanntmachungen) veröffentlicht.
Kirtorf, den 30.06.2025
Der Magistrat der Stadt Kirtorf
Christoph Lück
Bürgermeister
Bekanntmachungsvermerk:
Der vorstehende Beschluss wurde am 04.07.2025 auf der Homepage der Stadt Kirtorf (www.stadt-kirtorf.de/bekanntmachungen) öffentlich bekannt gemacht.
Kirtorf, den 30.06.2025
Der Magistrat der Stadt Kirtorf
Christoph Lück
Bürgermeister
Öffentliche Bekanntmachung der Stadt Kirtorf
Kirtorfer Windelsäcke
Richtlinien zur Bereitstellung von kostenlosen Windelsäcken oder zusätzlicher Abfalltonnen in Kirtorf
§ 1 Begünstigter Personenkreis:
Zuwendungsempfänger sind Familien mit Kleinkindern unter 3 Jahren und Personen, die dauerhaft auf Inkontinenzmaterialien angewiesen sind. Als Familie in diesem Sinne gelten Eheleute, Lebenspartner und Partner in eheähnlicher Gemeinschaft sowie Alleinerziehende. Die Kinder müssen mit dem Antragssteller in gerader Linie verwandt oder Adoptivkinder sein (gem. § 32 Abs. 1 – 3 EStG).
§ 2 Fördergegenstand und -höhe:
Gefördert werden:
· die kostenlose Bereitstellung von einem Restmüllsack im 2-Monat-Rhythmus oder
· die Kostenübernahme für zusätzliche Restmülltonnen oder Leerungen bis zur Höhe der maximalen Kosten für zusätzliche Restmüllsäcke.
Eine Doppelförderung ist ausgeschlossen. Ist ein Zuwendungsberechtigter nicht über das volle Kalenderjahr zuwendungsberechtigt, erfolgt die Förderung anteilig.
§ 3 Fördervoraussetzungen
Die Kleinkinder bzw. Personen, die dauerhaft auf Inkontinenzmaterial angewiesen sind, müssen mit Hauptwohnsitz in der Stadt Kirtorf in einem Privathaushalt gemeldet sein.
Die Notwendigkeit von Inkontinenzmaterial muss jährlich durch ein ärztliches Attest nachgewiesen werden.
Die Zuwendung ist eine freiwillige Leistung der Stadt Kirtorf, auf die kein Rechtsanspruch besteht und nur im Rahmen der zur Verfügung stehenden Haushaltsmittel gewährt werden kann.
§ 4 Antrag, Prüfung, Auszahlung
Der Zuschuss wird auf Antrag gewährt. Dieser ist formlos bei der Stadtverwaltung Kirtorf zu stellen.
Die Restmüllsäcke werden im Bürgerbüro der Stadtverwaltung gegen Unterschrift ausgehändigt.
Die zusätzliche Restmüll-Tonne ist beim Zweckverband Abfallwirtschaft Vogelsbergkreis zu beantragen (ZAV). Die Abwicklung und Zahlung läuft über den Grundstückseigentümer an den ZAV. Nachdem die Jahresrechnung des ZAV vorliegt, kann eine entsprechende Erstattung bei der Stadtverwaltung Kirtorf beantragt werden. Die Erstattung muss bis zum 01. September des Folgejahres beantragt werden. Der Bescheid des ZAV muss hierfür in Kopie beigefügt werden. Die Erstattung erfolgt, wenn die Fördervoraussetzungen vorliegen und ausreichend Haushaltsmittel zur Verfügung stehen unmittelbar nach der Bewilligung.
§ 5 Geltungsdauer
Diese Richtlinie tritt am Tag nach der öffentlichen Bekanntgabe in Kraft und zum 31.12.2026 außer Kraft.
Kirtorf, den 13.05.2025
Der Magistrat der Stadt Kirtorf
Christoph Lück
Bürgermeister (Siegel)
Ausfertigungsvermerk:
Es wird bestätigt, dass der Inhalt dieser Satzung mit dem hierzu ergangenen Beschluss der Stadtverordnetenversammlung übereinstimmt und dass die für die Rechtswirksamkeit maßgebenden Verfahrensvorschriften eingehalten wurden.
Kirtorf, den 13.05.2025
Der Magistrat der Stadt Kirtorf
Christoph Lück
Bürgermeister
Öffentliche Bekanntmachung der Stadt Kirtorf
Öffentliche Mahnung der Fälligkeit von Steuern und Abgaben
Quartalszahler 1. Quartal
Die Stadtkasse der Stadt Kirtorf macht darauf aufmerksam, dass zum 15.02.2025
folgende Steuern und Gebühren fällig waren:
- Grundsteuer A und B Quartalszahler
- Gewerbesteuer Quartalszahler
- Spielapparatesteuer Quartalszahler
- Wasser- und
Kanalbenutzungsgebühren Quartalszahler
Die Abgabepflichtigen, die mit der Entrichtung der genannten Steuern und Gebühren im Rückstand sind, werden hierdurch öffentlich gemahnt, die Rückstände bis spätestens 31. März 2025 an die Stadtkasse Kirtorf zu zahlen.
Nach dem 31. März 2025 werden die fällig gewesenen Abgaben im Wege des Verwaltungszwangsverfahrens nach den landesrechtlichen Bestimmungen zwangsweise eingezogen und aufgrund § 240 Abgabenordnung (AO) Säumniszuschläge in Höhe von eins vom Hundert des auf volle 50,00 € nach unten abgerundeten Betrages berechnet.
Für diese öffentliche Steuermahnung wird keine Gebühr erhoben. Wird jedoch wegen der gleichen Forderung eine persönliche Mahnung schriftlich wiederholt, ist diese gem. § 1 der Vollstreckungskostenordnung zum Hessischen Verwaltungsvollstreckungsgesetz gebührenpflichtig.
Kirtorf, 27.02.2025
Stadtkasse Kirtorf
Hahn
Kassenleiterin
Bekanntgemacht im Internet auf der Homepage der Stadt Kirtorf unter
www.stadt-kirtorf.de/bekanntmachungen am 27.02.2025
Hinweisbekanntmachung in der Oberhessischen Zeitung am 27.02.2025
AMTLICHE BEKANNTMACHUNG
Kommunalwahlen am 14.03.2021
Wahl der Stadtverordnetenversammlung der Stadt Kirtorf
Herr Enrico Lehnert vom Wahlvorschlag der Freie Wählergemeinschaft / Christlich Demokratische Union Kirtorf (FWG/CDU)
hat durch schriftliche Erklärung zum 01.03.2025 sein Mandat in der Stadtverordnetenversammlung niedergelegt und scheidet somit aus. Gleichzeitig stelle ich gemäß § 34 des Hessischen Kommunalwahlgesetzes i.d. F. der Bekanntmachung vom 07. März 2005 (GVBl. I S.197), zuletzt geändert durch Artikel 8a des Gesetzes vom 8. Dezember 2021 (GVBl. S. 871) fest, dass als nächster noch nicht berufener Bewerber des Wahlvorschlags
Freie Wählergemeinschaft / Christlich Demokratische Union Kirtorf (FWG/CDU)
Herr Florian Böttner in die Stadtverordnetenversammlung der Stadt Kirtorf nachrückt.
Gegen diese Feststellung kann jede wahlberechtigte Person des Wahlkreises binnen einer Ausschlussfrist von zwei Wochen nach dieser Bekanntmachung Einspruch erheben.
Der Einspruch der wahlberechtigten Person, der nicht die Verletzung eigener Rechte geltend macht, ist nur zulässig, wenn ihn eins von Hundert der Wahlberechtigten, mindestens jedoch fünf Wahlberechtigte unterstützen. Der Einspruch ist schriftlich oder zur Niederschrift beim Gemeindewahlleiter - Stadtverwaltung Kirtorf – einzureichen und innerhalb der Einspruchsfrist im Einzelnen zu begründen. Nach Ablauf der Einspruchsfrist können weitere Einspruchsgründe nicht mehr geltend gemacht werden.
Kirtorf, den 25.02.2025 Der Gemeindewahlleiter gez. Schindler
Bekanntgemacht im Internet auf der Homepage der Stadt Kirtorf unter
www.stadt-kirtorf.de/bekanntmachungen am 27.02.2025
Hinweisbekanntmachung in der Oberhessischen Zeitung am 27.02.2025
AMTLICHE BEKANNTMACHUNG
Kommunalwahlen am 14.03.2021
Wahl Ortsbeirat Stadtteil Ober-Gleen
Herr Enrico Lehnert vom Wahlvorschlag der Bürgerliste Ober-Gleen - BLOG
hat durch schriftliche Erklärung zum 01.03.2025 sein Mandat im Ortsbeirat niedergelegt und scheidet somit aus dem Ortsbeirat Ober-Gleen aus. Gleichzeitig stelle ich gemäß § 34 des Hessischen Kommunalwahlgesetzes i.d. F. der Bekanntmachung vom 07. März 2005 (GVBl. I S.197), zuletzt geändert durch Artikel 8a des Gesetzes vom 8. Dezember 2021 (GVBl. S. 871) fest, dass als nächster noch nicht berufener Bewerber des Wahlvorschlags
Bürgerliste Ober-Gleen - BLOG
Herr Jörk Michael Hipp in den Ortsbeirat Ober-Gleen nachrückt.
Gegen diese Feststellung kann jede wahlberechtigte Person des Wahlkreises binnen einer Ausschlussfrist von zwei Wochen nach dieser Bekanntmachung Einspruch erheben.
Der Einspruch der wahlberechtigten Person, der nicht die Verletzung eigener Rechte geltend macht, ist nur zulässig, wenn ihn eins von Hundert der Wahlberechtigten, mindestens jedoch fünf Wahlberechtigte unterstützen. Der Einspruch ist schriftlich oder zur Niederschrift beim Gemeindewahlleiter - Stadtverwaltung Kirtorf – einzureichen und innerhalb der Einspruchsfrist im Einzelnen zu begründen. Nach Ablauf der Einspruchsfrist können weitere Einspruchsgründe nicht mehr geltend gemacht werden.
Kirtorf, den 25.02.2025 Der Gemeindewahlleiter gez. Schindler
Bekanntgemacht im Internet auf der Homepage der Stadt Kirtorf unter
www.stadt-kirtorf.de/bekanntmachungen am 27.02.2025
Hinweisbekanntmachung in der Oberhessischen Zeitung am 27.02.2025
Anlage 27 (zu § 48 Absatz 1 BWO)
Wahlbekanntmachung Bundestagswahl
1.Am 23.02.2024 findet die Wahl zum 21. Deutschen Bundestag statt.
Die Wahl dauert von 8.00 bis 18.00 Uhr.
Die Gemeinde ist in folgende 7 Wahlbezirke eingeteilt:
| Wahlbezirk | Stadtteil | Lage des Wahlraumes | Barierefrei |
|---|---|---|---|
| 1 | Kirtorf | Gleentalhalle, FFW-Schulungsraum, Rabenbornsweg 14 | ja |
| 2 | Arnshain | Kasseler Straße 27 | ja |
| 3 | Gleimenhain | Schulweg 2 | ja |
| 4 | Heimertshausen | Zeller Straße 9 | ja |
| 5 | Lehrbach | Diebachsweg 2 | ja |
| 6 | Ober-Gleen | Hersfelder Straße 17 | ja |
| 7 | Wahlen | Lehrbacher Weg 4 | ja |
In den Wahlbenachrichtigungen, die den Wahlberechtigten in der Zeit vom 12.01.2025 bis 02.02.2025 übersandt worden sind, sind der Wahlbezirk und der Wahlraum angegeben, in dem der Wahlberechtigte zu wählen hat.
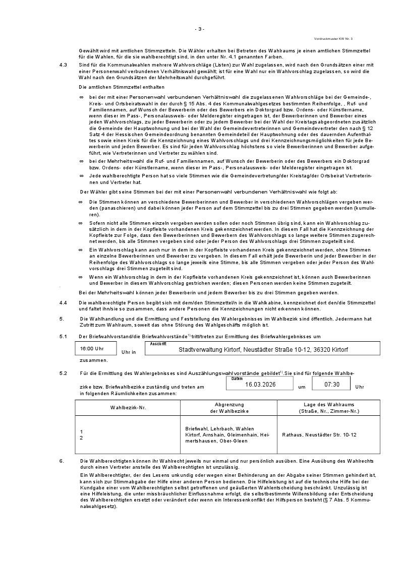
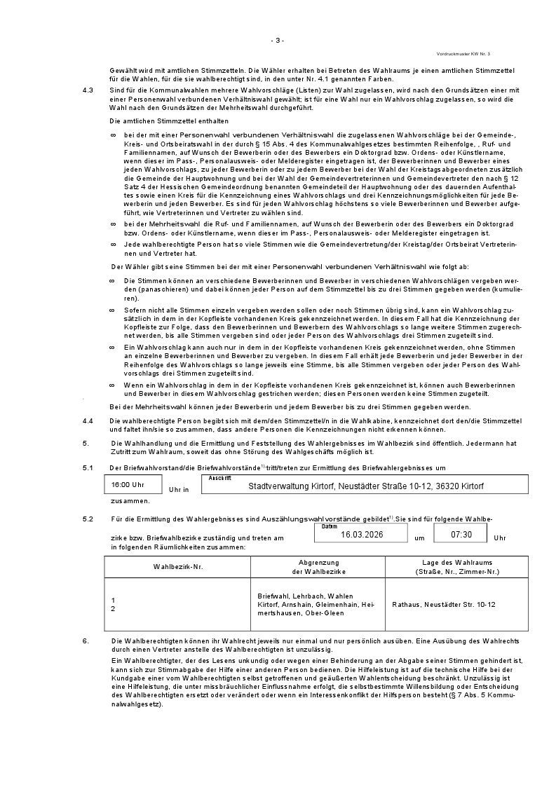
Der Briefwahlvorstand tritt zur Ermittlung des Briefwahlergebnisses um 16.30 Uhr im Stadtteil Kirtorf, Sitzungssaal Rathaus, Neustädter Straße 10-12 zusammen.
3. Jeder Wahlberechtigte kann nur in dem Wahlraum des Wahlbezirks wählen, in dessen Wählerverzeichnis er eingetragen ist. Die Wähler haben die Wahlbenachrichtigung und ihren Personalausweis oder Reisepass zur Wahl mitzubringen.
Die Wahlbenachrichtigung soll bei der Wahl abgegeben werden.
Gewählt wird mit amtlichen Stimmzetteln. Jeder Wähler erhält bei Betreten des Wahlraumes einen Stimmzettel ausgehändigt.
Jeder Wähler hat eine Erststimme und eine Zweitstimme.
Der Stimmzettel enthält jeweils unter fortlaufender Nummer
a) für die Wahl im Wahlkreis in schwarzem Druck die Namen der Bewerber der zugelassenen Kreiswahlvorschläge unter Angabe der Partei, sofern sie eine Kurzbezeichnung verwendet, auch dieser, bei anderen Kreiswahlvorschlägen außerdem des Kennworts und rechts von dem Namen jedes Bewerbers einen Kreis für die Kennzeichnung,
b) für die Wahl nach Landeslisten in blauem Druck die Bezeichnung der Parteien, sofern sie eine Kurzbezeichnung verwenden, auch dieser, und jeweils die Namen der ersten fünf Bewerber der zugelassenen Landeslisten und links von der Parteibezeichnung einen Kreis für die Kennzeichnung.
Der Wähler gibt seine Erststimme in der Weise ab, dass er auf dem linken Teil des Stimmzettels (Schwarzdruck) durch ein in einen Kreis gesetztes Kreuz oder auf andere Weise eindeutig kenntlich macht, welchem Bewerber sie gelten soll, und seine Zweitstimme in der Weise, dass er auf dem rechten Teil des Stimmzettels (Blaudruck) durch ein in einen Kreis gesetztes Kreuz oder auf andere Weise eindeutig kenntlich macht, welcher Landesliste sie gelten soll.
Der Stimmzettel muss vom Wähler in einer Wahlkabine des Wahlraumes oder in einem besonderen Nebenraum gekennzeichnet und in der Weise gefaltet werden, dass seine Stimmabgabe nicht erkennbar ist. In der Wahlkabine darf nicht fotografiert oder gefilmt werden.
4. Die Wahlhandlung sowie die im Anschluss an die Wahlhandlung erfolgende Ermittlung und Feststellung des Wahlergebnisses im Wahlbezirk sind öffentlich. Jedermann hat Zutritt, soweit das ohne Beeinträchtigung des Wahlgeschäfts möglich ist.
5. Wähler, die einen Wahlschein haben, können an der Wahl im Wahlkreis, in dem der Wahlschein ausgestellt ist,
a) durch Stimmabgabe in einem beliebigen Wahlbezirk dieses Wahlkreises oder
b) durch Briefwahl teilnehmen.
Wer durch Briefwahl wählen will, muss sich von der Gemeindebehörde einen amtlichen Stimmzettel, einen amtlichen Stimmzettelumschlag sowie einen amtlichen Wahlbriefumschlag beschaffen und seinen Wahlbrief mit dem Stimmzettel (im verschlossenen Stimmzettelumschlag) und dem unterschriebenen Wahlschein so rechtzeitig der auf dem Wahlbriefumschlag angegebenen Stelle zuleiten, dass er dort spätestens am Wahltage bis 18.00 Uhr eingeht. Der Wahlbrief kann auch bei der angegebenen Stelle abgegeben werden.
6. Jeder Wahlberechtigte kann sein Wahlrecht nur einmal und nur persönlich ausüben. Eine Ausübung des Wahlrechts durch einen Vertreter anstelle des Wahlberechtigten ist unzulässig (§ 14 Absatz 4 des Bundeswahlgesetzes).
Ein Wahlberechtigter, der des Lesens unkundig oder wegen einer Behinderung an der Abgabe seiner Stimme gehindert ist, kann sich hierzu der Hilfe einer anderen Person bedienen. Die Hilfeleistung ist auf technische Hilfe bei der Kundgabe einer vom Wahlberechtigten selbst getroffenen und geäußerten Wahlentscheidung beschränkt. Unzulässig ist eine Hilfeleistung, die unter missbräuchlicher Einflussnahme erfolgt, die selbstbestimmte Willensbildung oder Entscheidung des Wahlberechtigten ersetzt oder verändert oder wenn ein Interessenkonflikt der Hilfsperson besteht (§ 14 Absatz 5 des Bundeswahlgesetzes).
Wer unbefugt wählt oder sonst ein unrichtiges Ergebnis einer Wahl herbeiführt oder das Ergebnis verfälscht, wird mit Freiheitsstrafe bis zu fünf Jahren oder mit Geldstrafe bestraft. Unbefugt wählt auch, wer im Rahmen zulässiger Assistenz entgegen der Wahlentscheidung des Wahlberechtigten oder ohne eine geäußerte Wahlentscheidung des Wahlberechtigten eine Stimme abgibt. Der Versuch ist strafbar (§ 107a Absatz 1 und 3 des Strafgesetzbuches).
Kirtorf, 06.02.2025
Die Gemeindebehörde
36320 Kirtorf
gez. Fey, Bürgermeister
Bekanntgemacht im Internet auf der Homepage der Stadt Kirtorf unter
www.stadt-kirtorf.de/bekanntmachungen am 06.02.2025
Hinweisbekanntmachung in der Oberhessischen Zeitung am 06.02.2025
Bekanntmachung
der Gemeindebehörde über das Recht auf Einsicht in das
Wählerverzeichnis und die Erteilung von Wahlscheinen für die Wahl zum 21. Deutschen Bundestag am 23.02.2025
1. Das Wählerverzeichnis zur Bundestagswahl für die Wahlbezirke der Stadt Kirtorf
wird in der Zeit vom 03.02.2025 bis 07.02.2025 während der allgemeinen Öffnungszeiten im Bürgerbüro Stadtverwaltung Kirtorf, Neustädter Straße 12, 36320 Kirtorf (barrierefrei) für Wahlberechtigte zur Einsichtnahme bereitgehalten. Jeder Wahlberechtigte kann die Richtigkeit oder Vollständigkeit der zu seiner Person im Wählerverzeichnis eingetragenen Daten überprüfen. Sofern ein Wahlberechtigter die Richtigkeit oder Vollständigkeit der Daten von anderen im Wählerverzeichnis eingetragenen Personen überprüfen will, hat er Tatsachen glaubhaft zu machen, aus denen sich eine Unrichtigkeit oder Unvollständigkeit des Wählerverzeichnisses ergeben kann. Das Recht auf Überprüfung besteht nicht hinsichtlich der Daten von Wahlberechtigten, für die im Melderegister eine Auskunftssperre gemäß § 51 Absatz 1 des Bundesmeldegesetzes eingetragen ist.
Das Wählerverzeichnis wird im automatisierten Verfahren geführt. Die Einsichtnahme ist durch ein Datensichtgerät möglich.
Wählen kann nur, wer in das Wählerverzeichnis eingetragen ist oder einen Wahlschein hat.
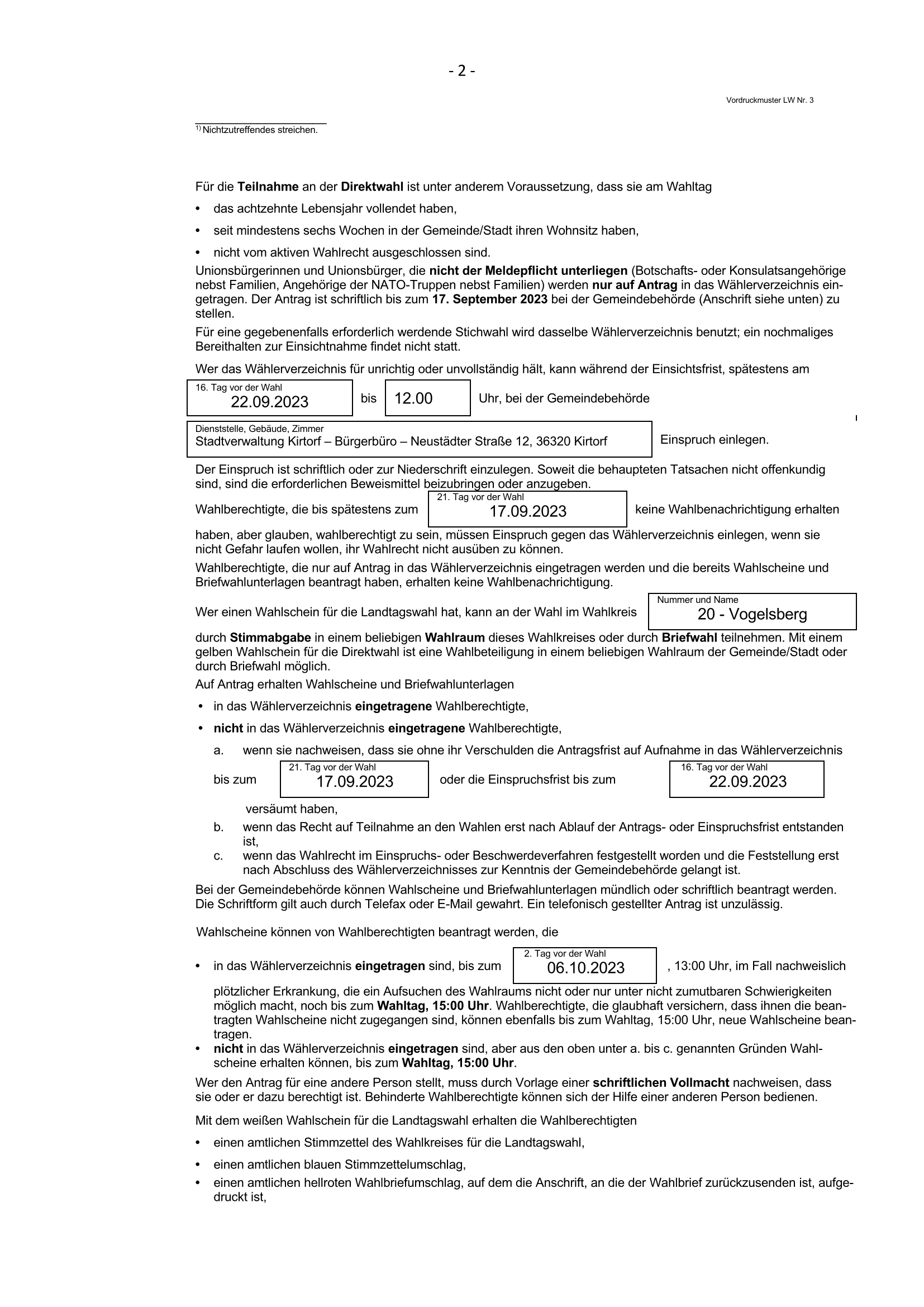
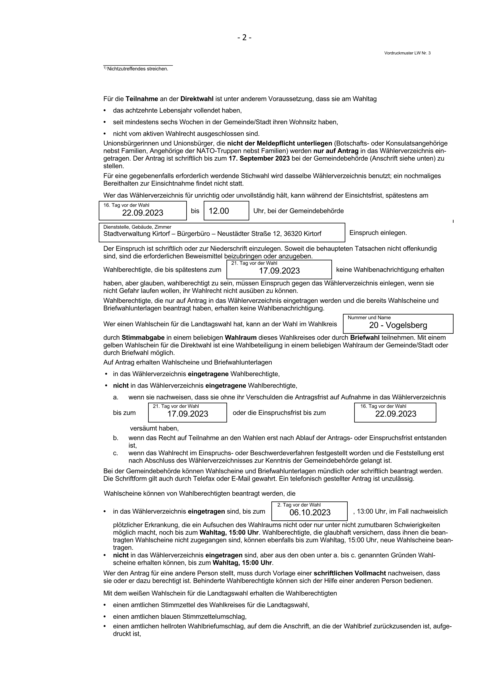
2. Wer das Wählerverzeichnis für unrichtig oder unvollständig hält, kann in der Zeit vom 20. Tag bis zum 16. Tag vor der Wahl, spätestens am 07.02.2025 bis 12.00 Uhr , bei der Gemeindebehörde , Magistrat der Stadt Kirtorf, Neustädter Straße 10-12, 36320 Kirtorf, Zimmer 4, Einspruch einlegen.
Der Einspruch kann schriftlich oder durch Erklärung zur Niederschrift eingelegt werden.
3. Wahlberechtigte, die in das Wählerverzeichnis eingetragen sind, erhalten bis spätestens zum 02.02.2025 eine Wahlbenachrichtigung.
Wer keine Wahlbenachrichtigung erhalten hat, aber glaubt, wahlberechtigt zu sein, muss Einspruch gegen das Wählerverzeichnis einlegen, wenn er nicht Gefahr laufen will, dass er sein Wahlrecht nicht ausüben kann.
Wahlberechtigte, die nur auf Antrag in das Wählerverzeichnis eingetragen werden und die bereits einen Wahlschein und Briefwahlunterlagen beantragt haben, erhalten keine Wahlbenachrichtigung.
4. Wer einen Wahlschein hat, kann an der Wahl im Wahlkreis 172 Gießen
· durch Stimmabgabe in einem beliebigen Wahlraum (Wahlbezirk) dieses Wahlkreises
· oder
· durch Briefwahl
teilnehmen.
5. Einen Wahlschein erhält auf Antrag
5.1 ein in das Wählerverzeichnis eingetragener Wahlberechtigter,
5.2 ein nicht in das Wählerverzeichnis eingetragener Wahlberechtigter,
a) wenn er nachweist, dass er ohne sein Verschulden die Antragsfrist auf Aufnahme in das Wählerverzeichnis nach § 18 Absatz 1 der Bundeswahlordnung (bis zum 02.02.2025 oder die Einspruchsfrist gegen das Wählerverzeichnis nach § 22 Absatz 1 der Bundeswahlordnung (bis zum 07.02.2025 versäumt hat,
b) wenn sein Recht auf Teilnahme an der Wahl erst nach Ablauf der Antragsfrist nach § 18 Absatz 1 der Bundeswahlordnung oder der Einspruchsfrist nach § 22 Absatz 1 der Bundeswahlordnung entstanden ist,
c) wenn sein Wahlrecht im Einspruchsverfahren festgestellt worden und die Feststellung erst nach Abschluss des Wählerverzeichnisses zur Kenntnis der Gemeindebehörde gelangt ist.
Wahlscheine können von in das Wählerverzeichnis eingetragenen Wahlberechtigten bis zum 21.02.2025, 15.00 Uhr, bei der Gemeindebehörde mündlich, schriftlich oder elektronisch beantragt werden.
Im Falle nachweislich plötzlicher Erkrankung, die ein Aufsuchen des Wahlraumes nicht oder nur unter nicht zumutbaren Schwierigkeiten möglich macht, kann der Antrag noch bis zum Wahltage, 15.00 Uhr, gestellt werden.
Versichert ein Wahlberechtigter glaubhaft, dass ihm der beantragte Wahlschein nicht zugegangen ist oder er ihn verloren hat, kann ihm bis zum Tage vor der Wahl, 12.00 Uhr, ein neuer Wahlschein erteilt werden.
Nicht in das Wählerverzeichnis eingetragene Wahlberechtigte können aus den unter 5.2 Buchstabe a bis c angegebenen Gründen den Antrag auf Erteilung eines Wahlscheines noch bis zum Wahltage, 15.00 Uhr, stellen.
Wer den Antrag für einen anderen stellt, muss durch Vorlage einer schriftlichen Vollmacht nachweisen, dass er dazu berechtigt ist. Ein Wahlberechtigter mit Behinderung kann sich bei der Antragstellung der Hilfe einer anderen Person bedienen.
6. Mit dem Wahlschein erhält der Wahlberechtigte
· einen amtlichen Stimmzettel des Wahlkreises,
· einen amtlichen Stimmzettelumschlag,
· einen amtlichen, mit der Anschrift, an die der Wahlbrief zurückzusenden ist,
versehenen roten Wahlbriefumschlag und ein Merkblatt für die Briefwahl.
Die Abholung von Wahlschein und Briefwahlunterlagen für einen anderen ist nur möglich, wenn die Berechtigung zur Empfangnahme der Unterlagen durch Vorlage einer schriftlichen Vollmacht nachgewiesen wird und die bevollmächtigte Person nicht mehr als vier Wahlberechtigte vertritt; dies hat sie der Gemeindebehörde vor Empfangnahme der Unterlagen schriftlich zu versichern. Auf Verlangen hat sich die bevollmächtigte Person auszuweisen.
Ein Wahlberechtigter, der des Lesens unkundig oder wegen einer Behinderung an der Abgabe seiner Stimme gehindert ist, kann sich zur Stimmabgabe der Hilfe einer anderen Person bedienen. Die Hilfsperson muss das 16. Lebensjahr vollendet haben. Die Hilfeleistung ist auf technische Hilfe bei der Kundgabe einer vom Wahlberechtigten selbst getroffenen und geäußerten Wahlentscheidung beschränkt. Unzulässig ist eine Hilfeleistung, die unter missbräuchlicher Einflussnahme erfolgt, die selbstbestimmte Willensbildung oder Entscheidung des Wahlberechtigten ersetzt oder verändert oder wenn ein Interessenkonflikt der Hilfsperson besteht. Die Hilfsperson ist zur Geheimhaltung der Kenntnisse verpflichtet, die sie bei der Hilfeleistung von der Wahl einer anderen Person erlangt hat.
Bei der Briefwahl muss der Wähler den Wahlbrief mit dem Stimmzettel und dem Wahlschein so rechtzeitig an die angegebene Stelle absenden, dass der Wahlbrief dort spätestens am Wahltage bis 18.00 Uhr eingeht.
Der Wahlbrief wird innerhalb der Bundesrepublik Deutschland ohne besondere Versendungsform ausschließlich von der Deutschen Post unentgeltlich befördert. Er kann auch bei der auf dem Wahlbrief angegebenen Stelle abgegeben werden.
Kirtorf, 20.01.2025
Der Magistrat der Stadt Kirtorf
Gez. Fey, Bürgermeister
Bekanntgemacht im Internet auf der Homepage der Stadt Kirtorf unter
www.stadt-kirtorf.de/bekanntmachungen am 20.01.2025
Hinweisbekanntmachung in der Oberhessischen Zeitung am 22.01.2025
Amtliche Bekanntmachung
- Beschlussfassung über den Jahresabschluss 2015
Gemäß § 114 Abs. 1 der Hessischen Gemeindeordnung (HGO) in der Fassung vom 07.03.2005 (GVBI. I. S. 142), zuletzt geändert durch Artikel 2 des Gesetzes vom 16. Februar 2023 (GVBL. S 90,93) wird öffentlich bekanntgemacht, dass die Stadtverordnetenversammlung in der Sitzung am 19.12.2024 folgenden Beschluss gefasst hat:
1.
Der vom Revisionsamt des Vogelsbergkreises abschließend geprüfte und mit einem eingeschränkten Prüfungsvermerk versehene Jahresabschluss der Stadt Kirtorf zum 31.12.2015 mit einer Bilanzsumme von 19.417.414,08 € sowie einem Jahresüberschuss
(ordentliches incl. außerordentliches Ergebnis) in Höhe von 63.834,10 € wird hiermit beschlossen.
Dem Magistrat wird gemäß § 114 Abs. 1 HGO für das Haushaltsjahr 2015 Entlastung erteilt.
2.
Der Jahresüberschuss 2015 soll den allgemeinen Rücklagen zugeführt werden.
2. Auslegung
Der vorstehende Beschluss wird hiermit öffentlich bekannt gemacht.
Der Jahresabschluss 2015 liegt mit Rechenschaftsbericht zur Einsichtnahme vom 02.01.2025 bis 10.01.2025 im Rathaus, Zimmer 1, Neustädter Str. 10, 36320 Kirtorf, während den Dienststunden der Stadtverwaltung Kirtorf, öffentlich aus:
Kirtorf, den 20.12.2024
Der Magistrat der Stadt Kirtorf
gez.
Andreas Fey, Bürgermeister
Es wird bestätigt, dass der Inhalt dieser Satzung mit dem hierzu ergangenen Beschluss der Stadtverordnetenversammlung übereinstimmt und dass die für die Rechtswirksamkeit maßgeblichen Vorschriften eingehalten wurden.
Kirtorf, den 20.12.2024
Der Magistrat der Stadt Kirtorf
gez.
Andreas Fey, Bürgermeister
Bekanntgemacht im Internet auf der Homepage der Stadt Kirtorf unter
www.stadt-kirtorf.de/bekanntmachungen am 20.12.2024
Hinweisbekanntmachung in der Oberhessischen Zeitung am 27.12.2024
Amtliche Bekanntmachung
1.Beschlussfassung über den Jahresabschluss 2016
Gemäß § 114 Abs. 1 der Hessischen Gemeindeordnung (HGO) in der Fassung vom 07.03.2005 (GVBI. I. S. 142), zuletzt geändert durch Artikel 2 des Gesetzes vom 16. Februar 2023 (GVBL. S 90,93) wird öffentlich bekanntgemacht, dass die Stadtverordnetenversammlung in der Sitzung am 19.12.2024 folgenden Beschluss gefasst hat:
1.
Der vom Revisionsamt des Vogelsbergkreises abschließend geprüfte und mit einem eingeschränkten Prüfungsvermerk versehene Jahresabschluss der Stadt Kirtorf zum 31.12.2016 mit einer Bilanzsumme von 19.217.553,58 € sowie einem Jahresfehlbetrag
(ordentliches incl. außerordentliches Ergebnis) in Höhe von 10.438,82 € wird hiermit beschlossen.
Dem Magistrat wird gemäß § 114 Abs. 1 HGO für das Haushaltsjahr 2016 Entlastung erteilt.
2.
Der Jahresfehlbetrag 2016 wurde gemäß GemHVO durch die Inanspruchnahme der Rücklage ausgeglichen.
2. Auslegung
Der vorstehende Beschluss wird hiermit öffentlich bekannt gemacht.
Der Jahresabschluss 2016 liegt mit Rechenschaftsbericht zur Einsichtnahme vom 02.01.2025 bis 10.01.2025 im Rathaus, Zimmer 1, Neustädter Str. 10, 36320 Kirtorf, während den Dienststunden der Stadtverwaltung Kirtorf, öffentlich aus:
Kirtorf, den 20.12.2024
Der Magistrat der Stadt Kirtorf
gez.
Andreas Fey, Bürgermeister
Es wird bestätigt, dass der Inhalt dieser Satzung mit dem hierzu ergangenen Beschluss der Stadtverordnetenversammlung übereinstimmt und dass die für die Rechtswirksamkeit maßgeblichen Vorschriften eingehalten wurden.
Kirtorf, den 20.12.2024
Der Magistrat der Stadt Kirtorf
gez.
Andreas Fey, Bürgermeister
Bekanntgemacht im Internet auf der Homepage der Stadt Kirtorf unter
www.stadt-kirtorf.de/bekanntmachungen am 20.12.2024
Hinweisbekanntmachung in der Oberhessischen Zeitung am 27.12.2024
Amtliche Bekanntmachung
Haushaltssatzung und Bekanntmachung der Haushaltssatzung
der Stadt Kirtorf für das Jahr 2024
(zum Lesen bitte auf die einzelnen Seiten klicken)
Bekanntgemacht im Internet auf der Homepage der Stadt Kirtorf unter
www.stadt-kirtorf.de/bekanntmachungen am 20.12.2024
Hinweisbekanntmachung in der Oberhessischen Zeitung am 27.12.2024
Amtliche Bekanntmachung
1. Beschlussfassung über den Jahresabschluss 2021
Gemäß § 114 Abs. 1 der Hessischen Gemeindeordnung (HGO) in der Fassung vom 07.03.2005 (GVBI. I. S. 142), zuletzt geändert durch Artikel 2 des Gesetzes vom 16. Februar 2023 (GVBI. S. 90,93), wird öffentlich bekanntgemacht, dass die Verbandsversammlung Zweckverband Soziale Dienste Antrifttal-Kirtorf in der Sitzung am 12.12.2024 folgenden Beschluss gefasst hat:
1.
Der vom Revisionsamt des Vogelsbergkreises abschließend geprüfte und mit
einem eingeschränkten Prüfungsvermerk versehene Jahresabschluss des Zweckverbandes Soziale Dienste-Antrifttal-Kirtorf zum 31.12.2021 mit einer Bilanzsumme von 203.529,62 € sowie einem Jahresergebnis (ordentliches incl. außerordentliches Ergebnis) in Höhe von 0,00 € wird hiermit beschlossen.
Dem Verbandsvorstand wird gemäß § 114 Abs. 1 HGO für das Haushaltsjahr 2021 Entlastung erteilt.
2.
Es erfolgt keine Ergebnisverwendung.
2. Auslegung
Der vorstehende Beschluss wird hiermit öffentlich bekannt gemacht.
Der Jahresabschluss 2021 liegt mit Rechenschaftsbericht zur Einsichtnahme vom 13.01.2025 bis 21.01.2025 im Rathaus, Zimmer 1, Neustädter Str. 10, 36320 Kirtorf, während den Dienststunden der Stadtverwaltung Kirtorf, öffentlich aus:
Kirtorf, den 19.12.2024
Zweckverband Soziale Dienste
gez.
Andreas Fey,Verbandsvorsteher
Es wird bestätigt, dass der Inhalt dieser Satzung mit dem hierzu ergangenen Beschluss der Verbandsversammlung Zweckverband Soziale Dienste Antrifttal-Kirtorf übereinstimmt und dass die für die Rechtswirksamkeit maßgeblichen Vorschriften eingehalten wurden.
Kirtorf, den 19.12.2024
Zweckverband Soziale Dienste Antrifttal-Kirtorf
gez.
Andreas Fey, Verbandvorsteher
Bekanntgemacht im Internet auf der Homepage der Stadt Kirtorf unter
www.stadt-kirtorf.de/bekanntmachungen am 20.12.2024
Hinweisbekanntmachung in der Oberhessischen Zeitung am 27.12.2024
Haushaltssatzung und Bekanntmachung der Haushaltssatzung
des Zweckverbandes Soziale Dienste Antrifttal/Kirtorf für das Jahr 2024
(zum Lesen bitte auf die einzelnen Seiten klicken)
Bekanntgemacht im Internet auf der Homepage der Stadt Kirtorf unter
www.stadt-kirtorf.de/bekanntmachungen am 02012.2024
Hinweisbekanntmachung in der Oberhessischen Zeitung am 27.12.2024
Stadtwerke Kirtorf - Prüfung des Jahresabschlusses zum 31.12.2021 und
des Lageberichtes für das Wirtschaftsjahr 2021
Bestätigungsvermerk des unabhängigen Abschlussprüfers
An den Eigenbetrieb Stadtwerke der Stadt Kirtorf
Prüfungsurteile
Wir haben den Jahresabschluss der Stadtwerke Kirtorf - bestehend aus der Bilanz zum 31. Dezember 2021 und der Gewinn- und Verlustrechnung für das Wirtschaftsjahr vom 1. Januar 2021 bis zum 31. Dezember 2021 sowie dem Anhang, einschließlich der Darstellung der Bilanzierungs- und Bewertungsmethoden - geprüft. Darüber hinaus haben wir den Lagebericht des Eigenbetriebes Kirtorf für das Wirtschaftsjahr vom 1.Januar2021 bis zum 31. Dezember 2021 geprüft.
Nach unserer Beurteilung aufgrund der bei der Prüfung gewonnenen Erkenntnisse entspricht der beigefügte Jahresabschluss in allen wesentlichen Belangen den Vorschriften des Hessischen Eigenbetriebsgesetzes i. V. m. den einschlägigen deutschen für Kapitalgesellschaften geltenden handelsrechtlichen Vorschriften und vermittelt unter Beachtung der deutschen Grundsätze ordnungsmäßiger Buchführung ein den tatsächlichen Verhältnissen entsprechendes Bild der Vermögens- und Finanzlage des Eigenbetriebes zum 31. Dezember 2021 sowie seiner Ertragslage für das Wirtschaftsjahr vom 1. Januar 2021 bis zum 31. Dezember 2021 und vermittelt der beigefügte Lagebericht insgesamt ein zutreffendes Bild von der Lage des Eigenbetriebes. In allen wesentlichen Belangen steht dieser Lagebericht in Einklang mit dem Jahresabschluss, entspricht den Vorschriften des § 26 HesEigBGes i. V. m. § 289 HGB und stellt die Chancen und Risiken der zukünftigen Entwicklung zutreffend dar.
Gemäß § 322 Abs. 3 Satz 1 HGB erklären wir, dass unsere Prüfung zu keinen Einwendungen gegen die Ordnungsmäßigkeit des Jahresabschlusses und des Lageberichtes geführt hat.
Grundlage für die Prüfungsurteile
Wir haben unsere Prüfung des Jahresabschlusses und des Lageberichtes in Übereinstimmung mit § 317 HGB und § 27 Abs. 2 HesEigBGes unter Beachtung der vom Institut der Wirtschaftsprüfer (IDW) festgestellten deutschen Grundsätze ordnungsmäßiger Abschlussprüfung durchgeführt. Unsere Verantwortung nach diesen Vorschriften und Grundsätzen ist im Abschnitt "Verantwortung des Abschlussprüfers für die Prüfung des Jahresabschlusses und des Lageberichtes" unseres Bestätigungsvermerkes weitergehend beschrieben. Wir sind von dem Eigenbetrieb unabhängig in Übereinstimmung mit den deutschen handelsrechtlichen und berufsrechtlichen Vorschriften und haben unsere sonstigen deutschen Berufspflichten in Übereinstimmung
mit diesen Anforderungen erfüllt. Wir sind der Auffassung, dass die von uns erlangten Prüfungsnachweise ausreichend und geeignet sind, um als Grundlage für unsere Prüfungsurteile zum Jahresabschluss und zum Lagebericht zu dienen.
Verantwortung der gesetzlichen Vertreter und der Betriebskommission für den Jahresabschluss und den Lagebericht
Die gesetzlichen Vertreter sind verantwortlich für die Aufstellung des Jahresabschlusses, der den Vorschriften des Hessischen Eigenbetriebsgesetzes i. V. m. den einschlägigen deutschen für Kapitalgesellschaften geltenden handelsrechtlichen Vorschriften in allen wesentlichen Belangen entspricht, und dafür, dass der Jahresabschluss unter Beachtung der deutschen Grundsätze ordnungsmäßiger Buchführung ein den tatsächlichen Verhältnissen entsprechen-
des Bild der Vermögens-, Finanz- und Ertragslage des Eigenbetriebes vermittelt. Ferner sind die gesetzlichen Vertreter verantwortlich für die internen Kontrollen, die sie in Übereinstimmung mit den deutschen Grundsätzen ordnungsmäßiger Buchführung als notwendig bestimmt haben,
um die Aufstellung eines Jahresabschlusses zu ermöglichen, der frei von wesentlichen - beabsichtigten oder unbeabsichtigten - falschen Darstellungen ist.
Bei der Aufstellung des Jahresabschlusses sind die gesetzlichen Vertreter dafür verantwortlich, die Fähigkeit des Eigenbetriebes zur Fortführung der Unternehmenstätigkeit zu beurteilen. Des Weiteren haben sie die Verantwortung, Sachverhalte in Zusammenhang mit der Fortführung der
Unternehmenstätigkeit, sofern einschlägig, anzugeben. Darüber hinaus sind sie dafür verantwortlich, auf der Grundlage des Rechnungslegungsgrundsatzes der Fortführung der Unternehmenstätigkeit zu bilanzieren, sofern dem nicht tatsächliche oder rechtliche Gegebenheiten entgegenstehen.
Außerdem sind die gesetzlichen Vertreter verantwortlich für die Aufstellung des Lageberichtes, der insgesamt ein zutreffendes Bild von der Lage des Eigenbetriebes vermittelt sowie in allen wesentlichen Belangen mit dem Jahresabschluss in Einklang steht, den Vorschriften des Hessischen Eigenbetriebsgesetzes i. V. m. den einschlägigen deutschen für Kapitalgesellschaften geltenden handelsrechtlichen Vorschriften entspricht und die Chancen und Risiken der zukünftigen Entwicklung zutreffend darstellt. Ferner sind die gesetzlichen Vertreter verantwortlich für die Vorkehrungen und Maßnahmen (Systeme), die sie als notwendig erachtet haben, um die Aufstellung eines Lageberichtes in Übereinstimmung mit den anzuwendenden Vorschriften des Hessischen Eigenbetriebsgesetzes i. V. m. den einschlägigen deutschen für Kapitalgesellschaften geltenden handelsrechtlichen Vorschriften zu ermöglichen, und um ausreichende geeigneten Nachweise für die Aussagen im Lagebericht erbringen zu können. Die Betriebskommission ist verantwortlich für die Überwachung des Rechnungslegungsprozesses des Eigenbetriebes zur Aufstellung des Jahresabschlusses und des Lageberichtes.
Verantwortung des Abschlussprüfers für die Prüfung des Jahresabschlusses und des Lageberichtes
Unsere Zielsetzung ist, hinreichende Sicherheit darüber zu erlangen, ob der Jahresabschluss als Ganzes frei von wesentlichen - beabsichtigten oder unbeabsichtigten - falschen Darstellungen ist, und ob der Lagebericht insgesamt ein zutreffendes Bild von der Lage des Eigenbetrie-
bes vermittelt sowie in allen wesentlichen Belangen mit dem Jahresabschluss sowie mit den bei der Prüfung gewonnenen Erkenntnissen in Einklang steht, den Vorschriften des Hessischen Eigenbetriebsgesetzes i. V. m. den einschlägigen deutschen für Kapitalgesellschaften geltenden handelsrechtlichen Vorschriften entspricht und die Chancen und Risiken der zukünftigen Entwicklung zutreffend darstellt, sowie einen Bestätigungsvermerk zu erteilen, der unsere Prüfungsurteile zum Jahresabschluss und zum Lagebericht beinhaltet. Hinreichende Sicherheit ist ein hohes Maß an Sicherheit, aber keine Garantie dafür, dass eine in Übereinstimmung mit § 317 HGB und § 27 Abs. 2 HesEigBGes unter Beachtung der vom Institut der Wirtschaftsprüfer (IDW) festgestellten deutschen Grundsätze ordnungsmäßiger Abschlussprüfung durchgeführte Prüfung eine wesentliche falsche Darstellung stets aufdeckt. Fal-
sche Darstellungen können aus Verstößen oder Unrichtigkeiten resultieren und werden als wesentlich angesehen, wenn vernünftigerweise erwartet werden könnte, dass sie einzeln oder insgesamt die auf der Grundlage dieses Jahresabschlusses und Lageberichtes getroffenen wirtschaftlichen Entscheidungen von Adressaten beeinflussen.
Während der Prüfung üben wir pflichtgemäßes Ermessen aus und bewahren eine kritische Grundhaltung. Darüber hinaus
- identifizieren und beurteilen wir die Risiken wesentlicher - beabsichtigter oder unbeabsichtigter - falscher Darstellungen im Jahresabschluss und im Lagebericht, planen und führen Prüfungshandlungen als Reaktion auf diese Risiken durch sowie erlangen Prüfungsnachweise, die ausreichend und geeignet sind, um als Grundlage für unsere Prüfungsurteile zu dienen. Das Risiko, dass wesentliche falsche Darstellungen nicht aufgedeckt werden, ist bei Verstößen höher als bei Unrichtigkeiten, da Verstöße betrügerisches Zusammenwirken, Fälschungen, beabsichtigte Unvollständigkeiten, irreführende Darstellungen bzw. das Außerkraftsetzen interner Kontrollen beinhalten können.
- gewinnen wir ein Verständnis von dem für die Prüfung des Jahresabschlusses relevanten internen Kontrollsystem und den für die Prüfung des Lageberichtes relevanten Vorkehrungen und Maßnahmen, um Prüfungshandlungen zu planen, die unter den gegebenen Umständen angemessen sind, jedoch nicht mit dem Ziel, ein Prüfungsurteil zur Wirksamkeit dieser Systeme des Eigenbetriebes abzugeben.
- beurteilen wir die Angemessenheit der von den gesetzlichen Vertretern angewandten Rechnungslegungsmethoden sowie die Vertretbarkeit der von den gesetzlichen Vertretern dargestellten geschätzten Werte und damit zusammenhängenden Angaben.
- ziehen wir Schlussfolgerungen über die Angemessenheit des von den gesetzlichen Vertretern angewandten Rechnungslegungsgrundsatzes der Fortführung der Unternehmenstätigkeit sowie, auf der Grundlage der erlangten Prüfungsnachweise, ob eine wesentliche Unsicherheit im Zusammenhang mit Ereignissen oder Gegebenheiten besteht, die bedeutsame Zweifel an der Fähigkeit des Eigenbetriebes zur Fortführung der Unternehmenstätigkeitaufwerfen können. Falls wir zu dem Schluss kommen, dass eine wesentliche Unsicherheit besteht, sind wir verpflichtet, im Bestätigungsvermerk auf die dazugehörigen Angaben im Jahresabschluss und im Lagebericht aufmerksam zu machen oder, falls diese Angaben unangemessen sind, unser jeweiliges Prüfungsurteil zu modifizieren. Wir ziehen unsere Schlussfolgerungen auf der Grundlage der bis zum Datum unseres Bestätigungsvermerkes erlangten Prüfungsnachweise. Zukünftige Ereignisse oder Gegebenheiten können jedoch dazu führen, dass der Eigenbetrieb seine Unternehmenstätigkeit nicht mehr fortführen kann.
- beurteilen wir die Gesamtdarstellung, den Aufbau und den Inhalt des Jahresabschlusses einschließlich der Angaben sowie ob der Jahresabschluss die zugrunde liegenden Geschäftsvorfälle und Ereignisse so darstellt, dass der Jahresabschluss unter Beachtung der deutschen Grundsätze ordnungsmäßiger Buchführung ein den tatsächlichen Verhältnissen entsprechendes Bild der Vermögens-, Finanz- und Ertragslage des Eigenbetriebes vermittelt.
- beurteilen wir den Einklang des Lageberichtes mit dem Jahresabschluss, seine Gesetzesentsprechung und das von ihm vermittelte Bild von der Lage des Eigenbetriebes.
- führen wir Prüfungshandlungen zu den von den gesetzlichen Vertretern dargestellten zukunftsorientierten Angaben im Lagebericht durch. Auf Basis ausreichender geeigneter Prüfungsnachweise vollziehen wir dabei insbesondere die den zukunftsorientierten Angaben von den gesetzlichen Vertretern zugrunde gelegten bedeutsamen Annahmen nach und beurteilen die sachgerechte Ableitung der zukunftsorientierten Angaben aus diesen Annahmen. Ein eigenständiges Prüfungsurteil zu den zukunftsorientierten Angaben sowie zu den zugrundeliegenden Annahmen geben wir nicht ab. Es besteht ein erhebliches unvermeidbares Risiko, dass künftige Ereignisse wesentlich von den zukunftsorientierten Angaben abweichen.
Wir erörtern mit den für die Überwachung Verantwortlichen unter anderem den geplanten Umfang und die Zeitplanung der Prüfung sowie bedeutsame Prüfungsfeststellungen, einschließlich etwaiger Mängel im internen Kontrollsystem, die wir während unserer Prüfung feststellen.
Dreieich, 2. September 2024
Schüllermann und Partner AG
gez. Dipl. -Finw. (FH) Wolfgang Kaiser gez. Dipl.-Kfm. Sascha Gönnheimer
Wirtschaftsprüfer Wirtschaftsprüfer
Offenlegung des Jahresabschlusses der
Stadtwerke Kirtorf 2021
Die Stadtverordnetenversammlung der Stadt Kirtorf hat in ihrer Sitzung am 21.11.2024 dem Jahresabschluss der Stadtwerke Kirtorf - Wasserversorgung, Regenerative Energien, Schwimmbadbetrieb, Wohnungsbau und Abwasserbeseitigung für das Geschäftsjahr 2021 zugestimmt.
Auszug aus dem Beschluss der Stadtverordnetenversammlung der Stadt Kirtorf vom 21.11.2024
Die Stadtverordnetenversammlung der Stadt Kirtorf stellt den Jahresabschluss der Stadtwerke Kirtorf zum 31. Dezember 2021 wie folgt fest:
Der Jahresgewinn der Abwasserbeseitigung (EUR 83.825,43) soll der allgemeinen Rücklage zugeführt werden. Der Jahresverlust der Wasserversorgung (EUR 85.996,95) soll aus Mitteln der allgemeinen Rücklage ausgeglichen werden. Der Jahresgewinn des Betriebszweiges Regenerative Energien (EUR 13.229,06) soll der zweckgebundenen Rücklage zugeführt werden. Die Jahresverluste des Schwimmbades (EUR 73.889,51) und des Wohnungsbaus (EUR 29.727,76) sollen aus Mitteln der zweckgebundenen Rücklage abgedeckt werden.
Der Betriebsleitung wird Entlastung erteilt.
Abstimmung:
Dem Beschluss wurde einstimmig zugestimmt.
Der Jahresabschluss 2021 der Stadtwerke Kirtorf "Wasserversorgung, Regenerative Energien, Schwimmbadbetrieb, Wohnungsbau und Abwasserbeseitigung" liegt gemäß § 27 Abs. 4 EigBges in der Zeit vom 05.12.2024 – 13.12.2024 während der Dienststunden im Rathaus Kirtorf, Zimmer 4, Neustädter Str. 10‑12 zu jedermanns Einsicht aus.
gez. Fey, Bürgermeister
Bekanntgemacht im Internet auf der Homepage der Stadt Kirtorf unter
www.stadt-kirtorf.de/bekanntmachungen am 04.12.2024
Hinweisbekanntmachung in der Oberhessischen Zeitung am 05.12.2024
Satzung über die Festsetzung der Steuersätze
für die Grund- und Gewerbesteuer
- Hebesatzsatzung –
Aufgrund der §§ 5 und 51 der Hessischen Gemeindeordnung (HGO) in der Fassung der Bekanntmachung vom 7. März 2005 (GVBl. I S. 142), zuletzt geändert durch Artikel 2 des Gesetzes vom 16. Februar 2023 (GVBl. S. 90, 93), des § 25 des Grundsteuergesetzes (GrStG) vom 7. August 1973 (BGBl. I S. 965), zuletzt geändert durch Artikel 21 des Gesetzes vom 16. Dezember 2022 (BGBl. I S. 2294) und des § 16 des Gewerbesteuergesetzes (GewStG) i. d. F. der Bekanntmachung vom 15. Oktober 2002 (BGBl. I S. 4167), zuletzt geändert durch Artikel 19 des Gesetzes vom 27. März 2024 (BGBl. 2024 I Nr. 108) hat die Stadtverordnetenversammlung am 21.11.2024 die folgende Satzung beschlossen:
§ 1 Festsetzung der Hebesätze
Die Hebesätze für die Grundsteuer und für die Gewerbesteuer werden wie folgt festgesetzt:
1. Grundsteuer
a) für die land- und forstwirtschaftlichen Betriebe (Grundsteuer A) 654 v. H.
b) für die Grundstücke (Grundsteuer B) 467 v. H.
2. für die Gewerbesteuer 400 v. H.
§ 2 Gültigkeit
Die Hebesätze nach § 1 gelten für das Haushaltsjahr 2025.
§ 3 Inkrafttreten
Diese Satzung tritt am 01.01.2025 in Kraft.
Kirtorf, den 21.11.2024
Andreas Fey
Bürgermeister
Ausfertigung:
Es wird bestätigt, dass der Inhalt dieser Satzung mit dem/den hierzu ergangenen Beschluss/Beschlüssen der Gemeindevertretung/ Stadtverordnetenversammlung übereinstimmt und dass die für die Rechtswirksamkeit maßgebenden Verfahrensvorschriften eingehalten wurden.
Kirtorf, den 21.11.2024
Andreas Fey
Bürgermeister
Bekanntgemacht im Internet auf der Homepage der Stadt Kirtorf unter
www.stadt-kirtorf.de/bekanntmachungen am 04.12.2024
Hinweisbekanntmachung in der Oberhessischen Zeitung am 05.12.2024
Öffentliche Bekanntmachung der Stadt Kirtorf
Öffentliche Mahnung der Fälligkeit von Steuern und Abgaben
Quartalszahler 4. Quartal
Die Stadtkasse der Stadt Kirtorf macht darauf aufmerksam, dass zum 15.11.2024
folgende Steuern und Gebühren fällig waren:
- Grundsteuer A und B Quartalszahler
- Gewerbesteuer Quartalszahler
- Spielapparatesteuer Quartalszahler
- Wasser- und
Kanalbenutzungsgebühren Quartalszahler
Die Abgabepflichtigen, die mit der Entrichtung der genannten Steuern und Gebühren im Rückstand sind, werden hierdurch öffentlich gemahnt, die Rückstände bis spätestens 31. Dezember 2024 an die Stadtkasse Kirtorf zu zahlen.
Nach dem 31. Dezember 2024 werden die fällig gewesenen Abgaben im Wege des Verwaltungszwangsverfahrens nach den landesrechtlichen Bestimmungen zwangsweise eingezogen und aufgrund § 240 Abgabenordnung (AO) Säumniszuschläge in Höhe von eins vom Hundert des auf volle 50,00 € nach unten abgerundeten Betrages berechnet.
Für diese öffentliche Steuermahnung wird keine Gebühr erhoben. Wird jedoch wegen der gleichen Forderung eine persönliche Mahnung schriftlich wiederholt, ist diese gem. § 1 der Vollstreckungskostenordnung zum Hessischen Verwaltungsvollstreckungsgesetz gebührenpflichtig.
Kirtorf, 29.11.2024
Stadtkasse Kirtorf
Hahn
Kassenleiterin
Bekanntgemacht im Internet auf der Homepage der Stadt Kirtorf unter
www.stadt-kirtorf.de/bekanntmachungen am 04.12.2024
Hinweisbekanntmachung in der Oberhessischen Zeitung am 05.12.2024
Bekanntmachung
des endgültigen Wahlergebnisses und des Namens des gewählten Bewerbers der Direktwahl des Bürgermeisters in der Stadt Kirtorf am 20.10.2024.
Der Wahlausschuss hat in seiner öffentlichen Sitzung am 25.10.2024 das endgültige Wahlergebnis der Direktwahl ermittelt und folgende Feststellungen getroffen:
Wahlberechtigte 2.568
Wählerinnen und Wähler insgesamt 1.740
Ungültige Stimmen 17
Von den gültigen Stimmen entfielen auf den Bewerber
Lfd. Nr. Familien- und Rufname, Träger des Wahlvorschlags, Stimmen
1 Herr Lück, Christoph, Lück, 1.075 Stimmen
2 Herr Fey, Andreas, Fey, 648 Stimmen
Gültige Stimmen insgesamt: 1.723
Der Wahlausschuss stellte fest, dass der Bewerber, Herr Christoph Lück, mehr als die Hälfte der abgegebenen Stimmen erhalten hat und somit gewählt ist.
Weiterhin wird auf Zulässigkeitsvoraussetzungen für einen Einspruch nach §§ 25, 41 Satz 1, § 49 der Kommunalwahlordnung (KWO) hingewiesen.
Einsprüche gegen die Gültigkeit der Wahl kann erheben:
- jede Bewerberin oder Bewerber, die oder der an der Wahl teilgenommen hat,
- jede Bewerberin oder Bewerber, eines zurückgewiesenen Wahlvorschlags,
- jede oder jeder Wahlberechtigte des Wahlkreises, die oder der die Verletzung eigner Rechte geltend macht
- jede und jeder Wahlberechtigte, wenn sie oder ihn 26 Wahlberechtigte unterstützen.
Der Einspruch ist binnen einer Ausschlussfrist von zwei Wochen von dem Tag dieser Bekanntmachung ab schriftlich oder zur Niederschrift bei der Wahlleiterin oder dem Wahlleiter einzureichen und innerhalb der Einspruchsfrist im Einzelnen zu begründen; nach Ablauf der Einspruchsfrist können weitere Einspruchsgründe nicht mehr gelten gemacht werden.
Kirtorf, 25.10.2024
gez. Schindler, Wahlleiter
Die Bekanntmachung wurde am 25.10.2024um 11:45 Uhr auf der Homepage veröffentlicht.
Die Hinweisbekanntmachung auf diese Bekanntmachung im Internet erscheint in der Ausgabe der VRM-Mittelhessen, 36304 Alsfeld, am Samstag, 26.10.2024.
Wahlbekanntmachung für die Direktwahl der Bürgermeisterin oder des Bürgermeisters in der Stadt Stadt Kirtorf am 20.10.2024
Die Direktwahl der Ober-Bürgermeisterin oder des Ober-Bürgermeisters/der Landrätin oder des Landrats dauert von 8:00 bis 18:00 Uhr.
Die Gemeinde ist in 7 allgemeine Wahlbezirke eingeteilt. Für die allgemeinen Wahlbezirke wird ein
Wählerverzeichnis erstellt, in das alle Wahlberechtigten eingetragen werden. Wählen kann nur, wer in das Wählerverzeichnis eingetragen ist oder einen Wahlschein hat.
In den Wahlbenachrichtigungen, die den ins Wählerverzeichnis eingetragenen Wahlberechtigten bis zum
29.09.2024 übersandt werden, sind der Wahlbezirk und der Wahlraum angegeben, in dem die Wahlberechtigten zu wählen haben. Die Wahlräume sind barrierefrei zu erreichen.
Das Wählerverzeichnis zur Direktwahl für die Wahlbezirke der Gemeinde wird in der Zeit vom
30.09.2024 bis zum 04.10.2024 während der allgemeinen Öffnungszeiten in der Stadtverwaltung Kirtorf – Bürgerbüro, Neustädter Straße 12, 36320 Kirtorf für Wahlberechtigte zur Einsichtnahme bereitgehalten.
Der Ort der Einsichtnahme ist barrierefrei. Jede wahlberechtigte Person kann die Richtigkeit oder Vollständigkeit ihrer im Wählerverzeichnis eingetragenen Daten überprüfen. Sofern eine Wahlberechtigte oder ein Wahlberechtigter die Richtigkeit oder Vollständigkeit der Daten von anderen im Wählerverzeichnis eingetragenen Personen überprüfen will, hat sie oder er Tatsachen glaubhaft zu machen, aus denen sich eine Unrichtigkeit oder Unvollständigkeit des Wählerverzeichnisses ergeben kann. Das Recht auf Überprüfung besteht nicht hinsichtlich der Daten von Wahlberechtigten, für die im Melderegister eine Auskunftssperre nach § 51 Abs. 1 des Bundesmeldegesetzes eingetragen ist.
Wer das Wählerverzeichnis für unrichtig oder unvollständig hält, kann während der Einsichtsfrist, spätestens am 04.10.2024 bis 12:00 Uhr, beim Magistrat der Stadt Kirtorf, Neustädter Straße 10-12, 36320 Kirtorf Einspruch einlegen.
Der Einspruch ist schriftlich oder zur Niederschrift einzulegen. Soweit die behaupteten Tatsachen nicht offenkundig sind, sind die erforderlichen Beweismittel beizubringen oder anzugeben.
Unionsbürgerinnen und Unionsbürger, die nicht der Meldepflicht unterliegen werden nur auf Antrag in das Wählerverzeichnis eingetragen. Der Antrag ist schriftlich bis zum 29.09.2024 beim Magistrat (Anschrift
siehe oben) zu stellen. Der Inlandsaufenthalt ist durch eine Bescheinigung des Herkunftsmitgliedstaates oder in sonstiger Weise glaubhaft zu machen.
Wahlberechtigte, die bis spätestens zum 29.09.2024 keine Wahlbenachrichtigung erhalten haben,
aber glauben, wahlberechtigt zu sein, müssen Einspruch gegen das Wählerverzeichnis einlegen, wenn sie nicht Gefahr laufen wollen, ihr Wahlrecht nicht ausüben zu können.
Wer einen Wahlschein hat, kann an der Wahl durch Stimmabgabe in einem beliebigen Wahlraum in der Stadt oder durch Briefwahl teilnehmen.
Auf Antrag erhalten Wahlschein und Briefwahlunterlagen
• in das Wählerverzeichnis eingetragene Wahlberechtigte,
• nicht in das Wählerverzeichnis eingetragene Wahlberechtigte,
a.
wenn sie nachweisen, dass sie ohne ihr Verschulden die Antragsfrist auf Aufnahme in das Wählerverzeichnis bis zum 29.09.2024 oder die Einspruchsfrist bis zum 04.10.2024 versäumt haben,
b.
wenn das Recht auf Teilnahme an der Wahl erst nach Ablauf der Antrags- oder Einspruchsfrist entstanden ist,
c.
wenn das Wahlrecht im Einspruchs- oder Beschwerdeverfahren festgestellt worden und die Feststellung erst nach Abschluss des Wählerverzeichnisses zur Kenntnis der Gemeindebehörde gelangt ist.
Bei der Gemeindebehörde können Wahlscheine und Briefwahlunterlagen mündlich oder schriftlich beantragt werden. Die Schriftform gilt auch durch Telefax, E-Mail oder durch sonstige dokumentierbare elektronische Übermittlung als gewahrt. Ein telefonisch gestellter Antrag ist unzulässig.
Wahlscheine können von Wahlberechtigten beantragt werden, die
• in das Wählerverzeichnis eingetragen sind, bis zum 18.10.2024, 13:00 Uhr, im Fall nachweislich plötzlicher Erkrankung, die ein Aufsuchen des Wahlraums nicht oder nur unter nicht zumutbaren Schwierigkeiten möglich macht, noch bis zum Wahltag, 15:00 Uhr. Wahlberechtigten, die glaubhaft versichern, dass ihnen der beantragte Wahlschein nicht zugegangen ist, kann ebenfalls bis zum Wahltag, 15:00 Uhr, ein neuer Wahlschein erteilt werden.
• nicht in das Wählerverzeichnis eingetragen sind, aber aus den oben unter a. bis c. genannten Gründen einen Wahlschein erhalten können, bis zum Wahltag, 15:00 Uhr.
Wer den Antrag für einen anderen stellt, muss durch Vorlage einer schriftlichen Vollmacht nachweisen, dass er dazu berechtigt ist. Behinderte Wahlberechtigte können sich der Hilfe einer anderen Person bedienen.
Mit dem Wahlschein erhalten die Wahlberechtigten
• einen amtlichen, Farbe weiß, Stimmzettel,
• einen amtlichen, Farbe blau, Stimmzettelumschlag,
• einen amtlichen, Farbe rot, Wahlbriefumschlag, auf dem die Anschrift, an die der Wahlbrief zurückzusenden ist, und der Wahlbezirk aufgedruckt sind,
und
• ein amtliches Merkblatt für die Briefwahl, das den Ablauf der Briefwahl in Wort und Bild erläutert.
Das Abholen von Wahlschein und Briefwahlunterlagen für eine andere Person ist nur möglich, wenn die Berechtigung zum Entgegennehmen der Unterlagen durch Vorlage einer schriftlichen Vollmacht nachgewiesen wird und die bevollmächtigte Person nicht mehr als vier Wahlberechtigte vertritt; dies hat sie der Gemeindebehörde schriftlich zu versichern, bevor die Unterlagen entgegengenommen werden. Auf Verlangen hat sich die bevollmächtigte Person auszuweisen.
Bei der Briefwahl müssen die Wahlberechtigten den Wahlbrief mit dem Stimmzettel und dem Wahlschein so rechtzeitig an die angegebene Stelle absenden, dass der Wahlbrief dort spätestens am Wahltag, 18:00 Uhr, eingeht. Er kann auch bei der auf dem Wahlbrief angegebenen Stelle abgegeben werden.
Jede wahlberechtigte Person kann nur in dem Wahlraum des Wahlbezirks wählen, in dessen Wählerverzeichnis sie eingetragen ist. Die Wählerinnen und Wähler haben die Wahlbenachrichtigung und ein Ausweispapier zur Wahl mitzubringen. Gewählt wird mit amtlichen Stimmzetteln. Die Wählerinnen und Wähler erhalten bei Betreten des Wahlraums einen amtlichen Stimmzettel.
Die Wählerinnen und Wähler haben jeweils eine Stimme.
Auf dem amtlichen Stimmzettel sind die Namen der an der Wahl teilnehmenden Bewerberinnen und Bewerber untereinander, bei nur zwei Bewerberinnen und/oder Bewerbern nebeneinander von links nach rechts jeweils in der Reihenfolge aufgeführt, dass zuerst die in der Vertretungskörperschaft der Gemeinde vertretenen Parteien und Wählergruppen nach der Zahl ihrer Stimmen bei der letzten Wahl der Vertretungskörperschaft angegeben sind. Dann folgen die übrigen Wahlvorschläge, über deren Reihenfolge das Los entschieden hat.
Die Stimmzettel enthalten Familiennamen, Rufnamen, Lebensalter am Tag der Wahl, Beruf oder Stand und die Gemeinde der Hauptwohnung der Bewerberinnen und Bewerber. Für Bewerberinnen und Bewerber, für die im Melderegister eine Auskunftssperre nach § 51 Abs. 1 des Bundesmeldegesetzes eingetragen ist, ist anstelle der Gemeinde der Hauptwohnung die Gemeinde der Erreichbarkeitsanschrift anzugeben. Unter den Angaben der Bewerberinnen und Bewerber wird jeweils der Träger des Wahlvorschlags und, sofern die Partei oder Wählergruppe eine Kurzbezeichnung verwendet, auch diese, bei Einzelbewerbern das Kennwort, genannt. Rechts neben dem Namen jeder Bewerberin und jedes Bewerbers befindet sich ein Kreis für die Kennzeichnung durch die Wählerinnen und Wähler. Ist nur ein Wahlvorschlag zugelassen, enthält der Stimmzettel jeweils eine Ankreuzmöglichkeit für „Ja“ und „Nein“.
Die Stimme wird in der Weise abgegeben, dass durch ein in einen Kreis gesetztes Kreuz oder auf andere Weise kenntlich gemacht wird, für welchen Wahlvorschlag sie gelten soll.
Der Stimmzettel muss von den Wählern in einer Wahlkabine des Wahlraums oder in einem besonderen Nebenraum gekennzeichnet und so gefaltet werden, dass die Stimmabgabe nicht erkennbar ist.
Die Wahlhandlung und die Ermittlung und Feststellung des Wahlergebnisses im Wahlbezirk sind öffentlich. Jedermann hat Zutritt, soweit das ohne Störung des Wahlgeschäfts möglich ist.
Der Briefwahlvorstand tritt zur Ermittlung des Briefwahlergebnisses um 17:00 Uhr in der
Stadtverwaltung Kirtorf – Sitzungssaal, Neustädter Straße 10, 36320 Kirtorf zusammen.
Gewählt ist, wer mehr als die Hälfte der gültigen Stimmen erhält. Wird die erforderliche Mehrheit nicht erreicht, findet am 03.11.2024 eine Stichwahl unter den beiden Bewerberinnen und/oder Bewerbern mit den meisten Stimmen statt; eine Stichwahl findet auch statt, wenn eine Bewerberin oder ein Bewerber auf die Teilnahme an der Stichwahl verzichten sollte. Für den Fall der Stichwahl wird unverzüglich nach der Feststellung des Wahlergebnisses eine neue Wahlbekanntmachung veröffentlicht.
Die Wahlberechtigten können ihr Wahlrecht nur einmal und nur persönlich ausüben. Eine Ausübung des Wahlrechts durch einen Vertreter anstelle des Wahlberechtigten ist unzulässig.Ein Wahlberechtigter, der des Lesens unkundig oder wegen einer Behinderung an der Abgabe seiner Stimme gehindert ist, kann sich zur Stimmabgabe der Hilfe einer anderen Person bedienen. Die Hilfeleistung ist auf die technische Hilfe bei der Kundgabe einer vom Wahlberechtigten selbst getroffenen und geäußerten Wahlentscheidung beschränkt. Unzulässig ist eine Hilfeleistung, die unter missbräuchlicher Einflussnahme erfolgt, die selbstbestimmte Willensbildung oder Entscheidung des Wahlberechtigten ersetzt oder verändert oder wenn ein Interessenkonflikt der Hilfsperson besteht (§ 7 Abs. 5 Kommunalwahlgesetz).
Wer unbefugt wählt, sonst ein unrichtiges Ergebnis einer Wahl herbeiführt oder das Ergebnis verfälscht, wird mit Freiheitsstrafe bis zu fünf Jahren oder mit Geldstrafe bestraft. Unbefugt wählt auch, wer im Rahmen der zulässigen Assistenz entgegen der Wahlentscheidung des Wahlberechtigten oder ohne eine geäußerte Wahlentscheidung des Wahlberechtigten eine Stimme abgibt. Auch der Versuch ist strafbar (§ 107a Abs. 1 und 3 Strafgesetzbuch). Während der Wahlzeit sind in und an dem Gebäude, in dem sich der Wahlraum befindet, sowie in dem Bereich mit einem Abstand von weniger als zehn Metern von dem Gebäudeeingang jede Beeinflussung der Wähler durch Wort, Ton, Schrift oder Bild sowie jede Unterschriftensammlung verboten.
Die Veröffentlichung von Ergebnissen von Wählerbefragungen nach der Stimmabgabe über den Inhalt der Wahlentscheidung ist vor Ablauf der Wahlzeit um 18:00 Uhr unzulässig.
Kirtorf, 05.09.2024
Der Magistrat der Stadt Kirtorf
gez. Fey, Bürgermeister
Veröffentlicht auf der Homepage am 05.09.2024
Hinweisbekanntmachung in der Oberhessischen Zeitung am 05.09.2024
Öffentliche Bekanntmachung der Stadt Kirtorf
Öffentliche Mahnung der Fälligkeit von Steuern und Abgaben
Quartalszahler 3. Quartal
Die Stadtkasse der Stadt Kirtorf macht darauf aufmerksam, dass zum:
15.08.2024 folgende Steuern und Gebühren fällig waren:
Grundsteuer A und B Quartalszahler
Gewerbesteuer Quartalszahler
Spielapparatesteuer Quartalszahler
Wasser- und
Kanalbenutzungsgebühren Quartalszahler
Die Abgabepflichtigen, die mit der Entrichtung der genannten Steuern und Gebühren im Rückstand sind, werden hierdurch öffentlich gemahnt, die Rückstände bis spätestens 10. September 2024 an die Stadtkasse Kirtorf zu zahlen.
Nach dem 10. September 2024 werden die fällig gewesenen Abgaben im Wege des Verwaltungszwangsverfahrens nach den landesrechtlichen Bestimmungen zwangsweise eingezogen und aufgrund § 240 Abgabenordnung (AO) Säumniszuschläge in Höhe von eins vom Hundert des auf volle 50,00 € nach unten abgerundeten Betrages berechnet.
Für diese öffentliche Steuermahnung wird keine Gebühr erhoben. Wird jedoch wegen der gleichen Forderung eine persönliche Mahnung schriftlich wiederholt, ist diese gem. § 1 der Vollstreckungskostenordnung zum Hessischen Verwaltungsvollstreckungsgesetz gebührenpflichtig.
Kirtorf, 29.08.2024
Stadtkasse Kirtorf
06635/18-0
Veröffentlicht auf der Homepage am 29.08.2024
Hinweisbekanntmachung in der Oberhessischen Zeitung am 29.08.2024
Bekanntmachung des Wahlleiters für die Direktwahl der Bürgermeisterin oder des Bürgermeisters in der Stadt Kirtorf am 20.10.2024
Wahlvorschläge
Der Gemeindewahlausschuss hat in seiner Sitzung am 23.08.2024 folgende Wahlvorschläge für die Direktwahl der Bürgermeisterin oder des Bürgermeisters der Stadt Kirtorf am 20.10.2024 zugelassen, die hiermit bekannt gegeben werden:
Wahlvorschlag 1
Einzelbewerber Lück
Herr Lück, Christoph, Bauamtsleiter, geb. 1983 in Siegen, wh. 36320 Kirtorf
Wahlvorschlag 2
Einzelbewerber Fey
Herr Fey, Andreas, Bürgermeister, geb. 1964 in Neunkirchen, wh. 36320 Kirtorf
Kirtorf, den 29.08.2024
Der Wahlleiter der Stadt Kirtorf
gez. Schindler
Veröffentlicht auf der Homepage am 29.08.2024
Hinweisbekanntmachung in der Oberhessischen Zeitung am 29.08.2024
Kommunalwahlen am 14.03.2021
Wahl Ortsbeirat Stadtteil Ober-Gleen
Frau Kathrin Hahn vom Wahlvorschlag der Bürgerliste Ober-Gleen - BLOG
hat durch schriftliche Erklärung zum 31.07.24 ihr Mandat im Ortsbeirat niedergelegt und scheidet somit aus dem Ortsbeirat Ober-Gleen aus.
Gleichzeitig stelle ich gemäß § 34 des Hessischen Kommunalwahlgesetzes (KWG) i.d. F. der Bekanntmachung vom 07. März 2005 (GVBl. I S.197), zuletzt geändert durch Gesetz vom 8. Dezember 2021 (GVBl. S. 871) fest, dass als nächster noch nicht berufener Bewerber des Wahlvorschlags
Bürgerliste Ober-Gleen - BLOG
Herr Enrico Lehnert in den Ortsbeirat Ober-Gleen nachrückt.
Gegen diese Feststellungen kann gemäß §§ 34, 25 KWG jeder Wahlberechtigte binnen einer Ausschlussfrist von 2 Wochen nach öffentlicher Bekanntmachung Einspruch erheben. Der Einspruch eines Wahlberechtigten, der nicht die Verletzung eigener Rechte geltend macht, ist nur zulässig, wenn ihn ein vom Hundert der Wahlberechtigten,
mindestens jedoch 5 Wahlberechtigte, unterstützen.
Der Einspruch ist schriftlich oder zur Niederschrift beim Gemeindewahlleiter - Stadtverwaltung Kirtorf – einzureichen und innerhalb der Einspruchsfrist im Einzelnen zu begründen. Nach Ablauf der Einspruchsfrist können weitere Einspruchsgründe nicht mehr geltend gemacht werden.
Kirtorf, den 29.08.2024 Der Gemeindewahlleiter, gez. Schindler
Veröffentlicht auf der Homepage am 29.08.2024
Hinweisbekanntmachung in der Oberhessischen Zeitung am 29.08.2024
Wahlbekanntmachung
Bekanntmachung des Wahltages und des Tages der Stichwahl und
Aufforderung zur Einreichung von Wahlvorschlägen für die
Direktwahl der Bürgermeisterin oder des Bürgermeisters der
Stadt Kirtorf
1.
In der Stadt Kirtorf (Hessen) mit 3.114 Einwohnern (Stichtag 31.12.2023) ist die hauptamtliche Stelle der Bürgermeisterin oder des Bürgermeisters im Wege der Direktwahl ab dem 12.03.2025 neu zu besetzen.
Die Stelle ist gemäß der Verordnung über die Besoldung, Dienstaufwandsentschädigung und Reisekostenpauschale der hauptamtlichen kommunalen Wahlbeamtinnen und Wahlbeamten auf Zeit (KomBesDAV) nach Besoldungsgruppe A 16 bewertet. Zusätzlich wird eine Aufwandsentschädigung nach derselben Vorschrift gewährt.
Das Ende der Amtszeit des derzeitigen Stelleninhabers ist der 11. März 2025.
Die Amtszeit beträgt sechs Jahre.
Wählbar sind Deutsche im Sinne des Art. 116 Abs. 1 des Grundgesetzes oder Staatsangehörige eines der übrigen Mitgliederstaaten der Europäischen Union mit Wohnsitz in der Bundesrepublik Deutschland (Unionsbürgerinnen und Unionsbürger), die am Wahltag das 18. Lebensjahr vollendet haben (§ 39 Abs. 2 der Hessischen Stadtordnung-HGO gilt entsprechend) und nicht vom Wahlrecht nach § 31 der Hess. Stadtordnung ausgeschlossen sind. Nicht wählbar ist, wer infolge Richterspruchs die Wählbarkeit oder die Fähigkeit zur Bekleidung öffentlicher Ämter nicht besitzt (§ 32 Abs. 2 HGO).
Die Bewerbung für die zu besetzende Stelle muss in Form eines Wahlvorschlages erfolgen, auf dessen gesetzliche Erfordernisse nachfolgend unter Nr. 2 hingewiesen wird; eine gesonderte Bewerbung ist wahlrechtlich weder erforderlich noch ausreichend. Zusätzliche Informationen zu der Stelle oder zur Wahl können bei dem Gemeindewahlleiter der Stadt Kirtorf, Herr Holger Schindler, Neustädter Straße 10-12, 36320 Kirtorf erfragt werden.
Hiermit wird zur Einreichung von Wahlvorschlägen für die Direktwahl der Bürgermeisterin oder des Bürgermeisters der Stadt Kirtorf öffentlich aufgefordert. Die Wahl findet nach Beschluss der Stadtverordnetenversammlung am Sonntag, den 20. Oktober 2024, eine evtl. erforderliche Stichwahl am Sonntag, den 03. November 2024 statt.
2.
Die Wahl erfolgt aufgrund von Wahlvorschlägen, die den gesetzlichen Erfordernissen der §§ 10 bis 13, 41 und des § 45 des Hessischen Kommunalwahlgesetzes (KWG) entsprechen müssen. Wahlvorschläge können von Parteien im Sinne des Artikels 21 des Grundgesetzes, von Wählergruppen und von Einzelbewerberinnen und Einzelbewerber eingereicht werden. Jeder Wahlvorschlag darf nur einen Bewerber / Bewerberin enthalten.
Der Wahlvorschlag muss den Namen der Partei oder Wählergruppe und, sofern sie eine Kurzbezeichnung verwendet, auch diese tragen. Der Name muss sich von den Namen bereits bestehender Parteien und Wählergruppen deutlich unterscheiden. Der Wahlvorschlag eines Einzelbewerbers / einer Einzelbewerberin trägt dessen Familiennamen als Kennwort. Der Bewerber / Die Bewerberin ist unter Angabe des Familiennamens, Rufnamens, des Zusatzes „Frau“ oder „Herr“, Tags der Geburt, Geburtsort, Berufs oder Stands und der Anschrift (Hauptwohnung) aufzuführen. Zusätzlich kann auf dem Stimmzettel für jede Bewerberin und jeden Bewerber ein Ordens- oder Künstlername angegeben werden, wenn dieser im Pass, Personalausweis oder Melderegister eingetragen ist. Weist eine Bewerberin / ein Bewerber bis zum Ablauf der Frist für die Einreichung der Wahlvorschläge dem Wahlleiter nach, dass für sie/ihn im Melderegister eine Auskunftssperre nach § 51 Abs. 1 des Bundesmeldegesetzes eingetragen ist, ist anstelle der Stadt der Hauptwohnung die Stadt der Erreichbarkeitsanschrift anzugeben (§ 46 KWG). Die Angabe eines Postfaches genügt nicht.
Ein Bewerber oder eine Bewerberin darf nur auf einem Wahlvorschlag benannt werden. Als Bewerber / Bewerberin kann nur vorgeschlagen werden, wer die Zustimmung dazu schriftlich erteilt hat; die Zustimmung ist unwiderruflich. Die Wahlvorschläge von Parteien und Wählergruppen, die während der vor dem Wahltag laufenden Wahlzeit ununterbrochen mit mindestens einer oder einem Abgeordneten in der Vertretungskörperschaft der Stadt oder des Landkreises oder im hessischen Landtag oder aufgrund eines Wahlvorschlags aus dem Lande Hessen im Bundestag vertreten waren, müssen von der Vertrauensperson und ihrem Stellvertreter, die von der Nominierungsversammlung benannt worden sind, persönlich und handschriftlich unterzeichnet werden. Die Vertrauensperson und die stellvertretende Vertrauensperson dürfen dem Wahlausschuss weder als Beisitzerin oder Beisitzer noch als Stellvertreter / in angehören. Die Vertrauensperson oder die stellvertretende Vertrauensperson kann durch schriftliche Erklärung des für den Wahlkreis zuständigen Parteiorgans oder der Vertretungsberechtigten der Wählergruppe gegenüber dem Wahlleiter abberufen und durch andere ersetzt werden, die als Ersatzperson von einer Mitglieder- oder Vertreterversammlung benannt wurde. Soweit im Hessischen Kommunalwahlgesetz nichts anderes bestimmt ist, sind nur die Vertrauensperson und die stellvertretende Vertrauensperson, jede für sich, berechtigt, verbindliche Erklärungen zum Wahlvorschlag abzugeben und entgegenzunehmen.
Die Bewerber für die Wahlvorschläge werden in geheimer Abstimmung in einer Versammlung der Mitglieder der Partei oder Wählergruppe im Wahlkreis oder in einer Versammlung der von den Mitgliedern der Partei oder Wählergruppe im Wahlkreis aus ihrer Mitte gewählten Vertreter (Vertreterversammlung) aufgestellt und ihre Reihenfolge im Wahlvorschlag festgelegt. Jede teilnehmende Person an der Versammlung kann Vorschläge für eine Bewerberin oder einen Bewerber unterbreiten. Jeder vorgeschlagenen Person wird Gelegenheit gegeben, sich und das Programm der Versammlung in angemessener Zeit vorzustellen. Eine Wahl mit verdeckten Stimmzetteln gilt als geheime Abstimmung. Über den Verlauf der Versammlung ist eine Niederschrift aufzunehmen. Die Niederschrift muss Angaben über Ort und Zeit der Versammlung, die Form der Einladung und die Zahl der erschienenen Mitglieder oder Vertreter/innen enthalten, die Ergebnisse der Abstimmung sowie über die Vertrauensperson und die jeweilige Ersatzperson nach § 11 Abs. 3 KWG enthalten. Die Niederschrift ist vom Versammlungsleiter / von der Versammlungsleiterin, dem Schriftführer / der Schriftführerin und zwei weiteren Mitgliedern oder Personen zu unterzeichnen; sie haben dabei gegenüber dem Wahlleiter an Eides Statt zu versichern, dass die Wahl der Bewerber in geheimer Abstimmung erfolgt ist. Der Wahlleiter ist zur Abnahme einer solchen Versicherung an Eides Statt zuständig.
Die Wahlvorschläge anderer Parteien und Wählergruppen sowie Einzelbewerber müssen von mindestens zweimal so viel Wahlberechtigten persönlich und handschriftlich unterzeichnet sein, wie die Vertretungskörperschaft der Stadt Vertreterinnen und Vertreter hat.
Die Zahl der Stadtverordneten in Kirtorf beträgt 23; es sind also mindestens 46 Unterstützungsunterschriften notwendig. Die Wahlberechtigung der Unterzeichner von Wahlvorschlägen muss zum Zeitpunkt der Unterzeichnung gegeben sein und ist bei Einreichung des Wahlvorschlages nachzuweisen. Jede wahlberechtigte Person kann nur einen Wahlvorschlag unterzeichnen.
Die Wahlvorschläge sind während der allgemeinen Öffnungszeiten spätestens am Montag, 12. August 2024 bis 18:00 Uhr schriftlich bei der Stadt Kirtorf, Wahlamt, Gemeindewahlleiter, Zimmer 4, Neustädter Straße 10-12, 36320 Kirtorf einzureichen.
Die Frist ist eine Ausschlussfrist, die nicht verlängert werden kann.
Mit dem Wahlvorschlag sind einzureichen:
- eine schriftliche Erklärung des Bewerbers oder der Bewerberin, dass er oder sie mit der Benennung in dem Wahlvorschlag einverstanden ist (Zustimmungserklärung),
- eine Bescheinigung der Stadtbehörde am Ort der Hauptwohnung, dass die Bewerberin oder der Bewerber die Voraussetzungen der Wählbarkeit erfüllt (Bescheinigung der Wählbarkeit),
- außerdem bei Wahlvorschlägen nach § 45 Abs. 3 KWG - Einzelbewerber - die erforderliche Anzahl von mindestens 30 „Unterstützungsunterschriften“ auf den amtlichen Formblättern mit den Bescheinigungen des Wahlrechts der unterzeichnenden Personen jeweils mit Familiennamen, Vorname, Tag der Geburt und Anschrift der Hauptwohnung.
Dies gilt nicht für Wahlvorschläge von Bürgermeistern, die während der vor dem Wahltag laufenden Amtszeit dieses Amt in der Stadt ausgeübt haben.
- bei Wahlvorschlägen von Parteien und Wählergruppen die Niederschrift über den Verlauf der Mitglieder- oder Vertreterversammlung, in der die Bewerberin oder der Bewerber aufgestellt wurde, mit den nach § 12 Abs. 3 KWG vorgeschriebenen Angaben und Versicherungen an Eides statt.
Ein Wahlvorschlag kann durch gemeinsame schriftliche Erklärung der Vertrauensperson und der stellvertretenden Vertrauensperson ganz oder teilweise zurückgenommen werden, solange nicht über seine Zulassung entschieden ist. Nach der Zulassung können Wahlvorschläge nicht mehr geändert oder zurückgenommen werden.
Die zur Einreichung der Wahlvorschläge erforderlichen und amtlich vorgeschriebenen Vordrucke erhalten Sie im Wahlamt der Stadt Kirtorf. Ebenfalls stehen diese (mit Ausnahme des Formblattes für die Unterstützungsunterschriften) auch im Internet unter https://wahlen.hessen.de/kommunalwahlen/direktwahlen als Download zur Verfügung.
Die Wahlvorschläge sind nach Möglichkeit so frühzeitig vor dem 12. August 2024, 18.00 Uhr einzureichen, dass etwaige Mängel, die die Gültigkeit der Wahlvorschläge berühren, noch rechtzeitig behoben werden können.
Kirtorf, 11.07.2024
gez.
Schindler, Gemeindewahlleiter der Stadt Kirtorf
Satzung über die Festsetzung der Steuersätze für die Grund- und Gewerbesteuer
- Hebesatzsatzung –
Aufgrund der §§ 5 und 51 der Hessischen Gemeindeordnung (HGO) in der Fassung der Bekanntmachung vom 7. März 2005 (GVBl. I S. 142), zuletzt geändert durch Artikel 2 des Gesetzes vom 16. Februar 2023 (GVBl. S. 90, 93), des § 25 des Grundsteuergesetzes (GrStG) vom 7. August 1973 (BGBl. I S. 965), zuletzt geändert durch Artikel 21 des Gesetzes vom 16. Dezember 2022 (BGBl. I S. 2294) und des § 16 des Gewerbesteuergesetzes (GewStG) i. d. F. der Bekanntmachung vom 15. Oktober 2002 (BGBl. I S. 4167), zuletzt geändert durch Artikel 19 des Gesetzes vom 27. März 2024 (BGBl. 2024 I Nr. 108) hat die Stadtverordnetenversammlung am 15. Mai 2024 die folgende Satzung beschlossen:
§ 1 Festsetzung der Hebesätze
Die Hebesätze für die Grundsteuer und für die Gewerbesteuer werden wie folgt festgesetzt:
1. Grundsteuer
a) für die land- und forstwirtschaftlichen Betriebe (Grundsteuer A) 795 v. H.
b) für die Grundstücke (Grundsteuer B) 795 v. H.
2. für die Gewerbesteuer 400 v. H.
§ 2 Gültigkeit
Die Hebesätze nach § 1 gelten für das Haushaltsjahr 2024.
§ 3 Inkrafttreten
Diese Satzung tritt am 01.01.2024 in Kraft.
Kirtorf, den 15.05.2024
Andreas Fey
Bürgermeister
Ausfertigung:
Es wird bestätigt, dass der Inhalt dieser Satzung mit dem/den hierzu ergangenen Beschluss/Beschlüssen der Gemeindevertretung/Stadtverordnetenversammlung übereinstimmt und dass die für die Rechtswirksamkeit maßgebenden Verfahrensvorschriften eingehalten wurden.
Kirtorf, den 15.05.2024
Andreas Fey
Bürgermeister
Anlage 23 (zu § 41 Abs. 1 EuWO, Stand: 2024)
Wahlbekanntmachung
1.
Am 9. Juni 2024 findet in der Bundesrepublik Deutschland die Wahl zum Europäischen Parlament statt. Die Wahl dauert von 8:00 bis 18:00 Uhr.
2.
Die Stadt Kirtorf ist in folgende 7 Wahlbezirke eingeteilt:
Wahlbezirk-Nr. Bezeichnung des Wahlbezirks Bezeichnung des Wahlraums
1 Kirtorf, Gleentalhalle, Rabenbornsweg 14
2 Arnshain, Dorfgemeinschaftshaus, Kasseler Straße 27
3 Gleimenhain, Dorfgemeinschaftshaus, Schulweg 2
4 Heimertshausen, Dorfgemeinschaftshaus, Zeller Straße 9
5 Lehrbach, Dorfgemeinschaftshaus, Diebachsweg 2
6 Ober-Gleen, Mehrgenerationenhaus, Hersfelder Str. 17
7 Wahlen, Dorfgemeinschaftshaus, Lehrbacher Weg 4
In den Wahlbenachrichtigungen, die den Wahlberechtigten in der Zeit vom 29. April 2024 bis
19. Mai 2024 zugestellt worden sind, sind der Wahlbezirk und der Wahlraum angegeben, in dem der Wahlberechtigte zu wählen hat.
Der Briefwahlvorstand/Die Briefwahlvorstände tritt/treten zur Ermittlung des Briefwahlergebnisses um 16.30 Uhr im Rathaus – Sitzungssaal, Neustädter Str. 10-12, 36320 Kirtorf zusammen.
3.
Jeder Wahlberechtigte kann nur in dem Wahlraum des Wahlbezirks wählen, in dessen Wählerverzeichnis er eingetragen ist. Die Wähler haben ihre Wahlbenachrichtigung und einen amtlichen Personalausweis – Unionsbürger einen gültigen Identitätsausweis – oder Reisepass zur Wahl mitzubringen. Die Wahlbenachrichtigung soll bei der Wahl abgegeben werden.
Gewählt wird mit amtlichen Stimmzetteln. Jeder Wähler erhält bei Betreten des Wahlraums einen Stimmzettel ausgehändigt. Jeder Wähler hat eine Stimme.
Der Stimmzettel enthält jeweils unter fortlaufender Nummer die Bezeichnung der Partei und ihre Kurzbezeichnung bzw. die Bezeichnung der sonstigen politischen Vereinigung und ihr Kennwort sowie jeweils die ersten 10 Bewerber der zugelassenen Wahlvorschläge und rechts von der Bezeichnung des Wahlvorschlagsberechtigten einen Kreis für die Kennzeichnung.
Der Wähler gibt seine Stimme in der Weise ab, dass er auf dem rechten Teil des Stimmzettels durch ein in einen Kreis gesetztes Kreuz oder auf andere Weise eindeutig kenntlich macht, welchem Wahlvorschlag sie gelten soll. Der Stimmzettel muss vom Wähler in einer Wahlkabine des Wahlraums oder in einem besonderen Nebenraum gekennzeichnet und in der Weise gefaltet werden, dass seine Stimmabgabe nicht erkennbar ist. In der Wahlkabine darf nicht fotografiert oder gefilmt werden.
4.
Die Wahlhandlung sowie die im Anschluss an die Wahlhandlung erfolgende Ermittlung und Feststellung des Wahlergebnisses im Wahlbezirk sind öffentlich. Jedermann hat Zutritt, soweit das ohne Beeinträchtigung des Wahlgeschäfts möglich ist.
5.
Wähler, die einen Wahlschein haben, können an der Wahl im Kreis oder in der kreisfreien Stadt, in dem/der der Wahlschein ausgestellt ist,
a) durch Stimmabgabe in einem beliebigen Wahlbezirk des Kreises/der kreisfreien Stadt oder
b) durch Briefwahl
teilnehmen.
Wer durch Briefwahl wählen will, muss sich von der Gemeindebehörde einen amtlichen Stimmzettel, einen amtlichen Stimmzettelumschlag sowie einen amtlichen Wahlbriefumschlag beschaffen und seinen Wahlbrief mit dem Stimmzettel (in verschlossenem Stimmzettelumschlag) und dem unterschriebenen Wahlschein so rechtzeitig der auf dem Wahlbriefumschlag angegebenen Stelle übersenden, dass er dort spätestens am Wahltag bis 18:00 Uhr eingeht. Der Wahlbrief kann auch bei der angegebenen Stelle abgegeben werden.
6.
Jeder Wahlberechtigte kann sein Wahlrecht nur einmal und nur persönlich ausüben. Das gilt auch für Wahlberechtigte, die zugleich in einem anderen Mitgliedstaat der Europäischen Union zum Europäischen Parlament wahlberechtigt sind. Eine Ausübung des Wahlrechts durch einen Vertreter anstelle des Wahlberechtigten ist unzulässig (§ 6 Abs. 4 des Europawahlgesetzes).
Ein Wahlberechtigter, der des Lesens unkundig oder wegen einer Behinderung an der Abgabe seiner Stimme gehindert ist, kann sich hierzu der Hilfe einer anderen Person bedienen. Die Hilfeleistung ist auf technische Hilfe bei der Kundgabe einer vom Wahlberechtigten selbst getroffenen und geäußerten Wahlentscheidung beschränkt. Unzulässig ist eine Hilfeleistung, die unter missbräuchlicher Einflussnahme erfolgt, die selbstbestimmte Willensbildung oder Entscheidung des Wahlberechtigten ersetzt oder verändert oder wenn ein Interessenkonflikt der Hilfsperson besteht (§ 6 Abs. 4a des Europawahlgesetzes).
Wer unbefugt wählt oder sonst ein unrichtiges Ergebnis einer Wahl herbeiführt oder das Ergebnis verfälscht, wird mit Freiheitsstrafe bis zu 5 Jahren oder mit Geldstrafe bestraft. Unbefugt wählt auch, wer im Rahmen zulässiger Assistenz entgegen der Wahlentscheidung des Wahlberechtigten eine Stimme abgibt. Der Versuch ist strafbar (§ 107a Abs. 1 und 3 des Strafgesetzbuches).
Kirtorf, 08.05.2024
Stadt Kirtorf
gez. Fey, Bürgermeister
Anlage 5 (zu § 19 Abs. 1, Stand 2024)
Bekanntmachung
über das Recht auf Einsicht in das Wählerverzeichnis und die Erteilung von Wahlscheinen
für die Wahl zum Europäischen Parlament am 9. Juni 2024
1.
Das Wählerverzeichnis zur Wahl zum Europäischen Parlament für die Gemeinde – die Wahlbezirke der Stadt Kirtorf, Vogelsbergkreis
wird in der Zeit vom 20. Tag vor der Wahl (werktags) 21. Mai 2024
bis 16. Tag vor der Wahl 24. Mai 2024 während
der allgemeinen Öffnungszeiten1) in der Stadtverwaltung, Neustädter Str. 10-12, 36320 Kirtorf, Bürgerbüro für Wahlberechtigte zur Einsichtnahme bereitgehalten.
Jeder Wahlberechtigte kann die Richtigkeit oder Vollständigkeit der zu seiner Person im Wählerverzeichnis eingetragenen Daten überprüfen. Sofern ein Wahlberechtigter die Richtigkeit oder Vollständigkeit der Daten von anderen im Wählerverzeichnis eingetragenen Personen überprüfen will, hat er Tatsachen glaubhaft zu machen, aus denen sich eine Unrichtigkeit oder Unvollständigkeit des Wählerverzeichnisses ergeben kann. Das Recht auf Überprüfung besteht nicht hinsichtlich der Daten von Wahlberechtigten, für die im Melderegister ein Sperrvermerk gemäß § 51 Abs. 1 des Bundesmeldegesetzes eingetragen ist. Das Wählerverzeichnis wird im automatisierten Verfahren geführt. Die Einsichtnahme ist durch ein Datensichtgerät möglich.3)
Wählen kann nur, wer in das Wählerverzeichnis eingetragen ist oder einen Wahlschein hat.
2.
Wer das Wählerverzeichnis für unrichtig oder unvollständig hält, kann in der Zeit vom 20. Tag bis zum 16. Tag vor der Wahl, spätestens am 16. Tag vor der Wahl
24.Mai 2024 bis Uhrzeit 12.00 Uhr, bei der Gemeindebehörde
Stadtverwaltung, Neustädter Str. 10-12, 36320 Kirtorf, Bürgerbüro
Einspruch einlegen. Der Einspruch kann schriftlich oder durch Erklärung zur Niederschrift eingelegt werden.
3.
Wahlberechtigte, die in das Wählerverzeichnis eingetragen sind, erhalten bis spätestens zum 21. Tag vor der Wahl 19. Mai 2024 eine Wahlbenachrichtigung. Wer keine Wahlbenachrichtigung erhalten hat, aber glaubt, wahlberechtigt zu sein, muss Einspruch gegen das Wählerverzeichnis einlegen, wenn er nicht Gefahr laufen will, dass er sein Wahlrecht nicht ausüben kann. Wahlberechtigte, die nur auf Antrag in das Wählerverzeichnis eingetragen werden und die bereits einen Wahlschein und Briefwahlunterlagen beantragt haben, erhalten keine Wahlbenachrichtigung.
4.
Wer einen Wahlschein hat, kann an der Wahl in dem Kreis Vogelsbergkreis durch Stimmabgabe in einem beliebigen Wahlraum dieses Kreises oder durch Briefwahl teilnehmen.
5.
Einen Wahlschein erhält auf Antrag
5.1 ein in das Wählerverzeichnis eingetragener Wahlberechtigter,
5.2 ein nicht in das Wählerverzeichnis eingetragener Wahlberechtigter,
a) wenn er nachweist, dass er ohne sein Verschulden die Antragsfrist auf Aufnahme in das Wählerverzeichnis bei Deutschen nach § 17 Abs. 1 der Europawahlordnung, bei Unionsbürgern nach § 17a Abs. 2 der Europawahlordnung bis zum 21. Tag vor der Wahl 19. Mai 2024 oder die Einspruchsfrist gegen das Wählerverzeichnis nach § 21 Abs. 1 der Europawahlordnung bis zum 16. Tag vor der Wahl 24. Mai 2024 versäumt hat,
b) wenn sein Recht auf Teilnahme an der Wahl erst nach Ablauf der Antragsfrist bei Deutschen nach § 17 Abs. 1 der Europawahlordnung, bei Unionsbürgern nach § 17a Abs. 2 der Europawahlordnung oder der Einspruchsfrist nach § 21 Abs. 1 der Europawahlordnung entstanden ist.
c) wenn sein Wahlrecht im Einspruchsverfahren festgestellt worden und die Feststellung erst nach Abschluss des Wählerverzeichnisses zur Kenntnis der Gemeindebehörde gelangt ist. Wahlscheine können von in das Wählerverzeichnis eingetragenen Wahlberechtigten bis zum 2. Tag vor der Wahl 07. Juni 2024, 18:00 Uhr , bei der Gemeindebehörde mündlich, schriftlich oder elektronisch beantragt werden.
Im Falle nachweislich plötzlicher Erkrankung, die ein Aufsuchen des Wahlraums nicht oder nur unter nicht zumutbaren Schwierigkeiten möglich macht, kann der Antrag noch bis zum Wahltag, 15:00 Uhr, gestellt werden.
Versichert ein Wahlberechtigter glaubhaft, dass ihm der beantragte Wahlschein nicht zugegangen ist, kann ihm bis zum Tage vor der Wahl, 12:00 Uhr, ein neuer Wahlschein erteilt werden. Nicht in das Wählerverzeichnis eingetragene Wahlberechtigte können aus den unter 5.2 Buchstaben a) bis c) angegebenen Gründen den Antrag auf Erteilung eines Wahlscheins noch bis zum Wahltag, 15:00 Uhr, stellen. Wer den Antrag für einen anderen stellt, muss durch Vorlage einer schriftlichen Vollmacht nachweisen, dass er dazu berechtigt ist. Ein Wahlberechtigter mit Behinderungen kann sich bei der Antragstellung der Hilfe einer anderen Person bedienen.
6.
Mit dem Wahlschein erhält der Wahlberechtigte
- einen amtlichen Stimmzettel,
- einen amtlichen Stimmzettelumschlag
- einen amtlichen, mit der Anschrift, an die der Wahlbrief zurückzusenden ist, versehenen roten Wahlbriefumschlag und
- ein Merkblatt für die Briefwahl.
Die Abholung von Wahlschein und Briefwahlunterlagen für einen anderen ist nur möglich, wenn die Berechtigung zur Empfangnahme der Unterlagen durch Vorlage einer schriftlichen Vollmacht nachgewiesen wird und die bevollmächtigte Person nicht mehr als vier Wahlberechtigte vertritt; dies hat sie der Gemeindebehörde vor Empfangnahme der Unterlagen schriftlich zu versichern. Auf Verlangen hat sich die bevollmächtigte Person auszuweisen.
Bei der Briefwahl muss der Wähler den Wahlbrief mit dem Stimmzettel und dem Wahlschein so rechtzeitig an die angegebene Stelle absenden, dass der Wahlbrief dort spätestens am Wahltage bis 18:00 Uhr eingeht.
Ein Wahlberechtigter, der des Lesens unkundig oder wegen einer Behinderung an der Abgabe seiner Stimme gehindert ist, kann sich zur Stimmabgabe der Hilfe einer anderen Person bedienen. Die Hilfsperson muss das 16. Lebens-jahr vollendet haben. Die Hilfeleistung ist auf technische Hilfe bei der Kundgabe einer vom Wahlberechtigten selbst getroffenen und geäußerten Wahlentscheidung beschränkt. Unzulässig ist eine Hilfeleistung, die unter missbräuchlicher Einflussnahme erfolgt, die selbstbestimmte Willensbildung oder Entscheidung des Wahlberechtigten ersetzt oder verändert oder wenn ein Interessenkonflikt der Hilfsperson besteht. Die Hilfsperson ist zur Geheimhaltung der Kenntnisse verpflichtet, die sie bei der Hilfeleistung von der Wahl einer anderen Person erlangt hat.
Der Wahlbrief wird innerhalb der Bundesrepublik Deutschland ohne besondere Versendungsform ausschließlich von
4) Deutsche Post AG unentgeltlich befördert. Er kann auch bei der auf dem Wahlbrief angegebenen Stelle abgegeben werden.
Ort, Datum
Kirtorf, 03.05.2024
Die Gemeindebehörde
gez.: Fey, Bürgermeister
Amtliche Bekanntmachung der Stadt Kirtorf
Änderung der Wasserversorgungssatzung (WVS) der Stadt Kirtorf
Beschluss:
Aufgrund der §§ 5, 19, 20, 51 und 93 Abs. 1 der Hessischen Gemeindeordnung (HGO) in der Fassung der Bekanntmachung vom 07.03.2005 (GVBl I S. 142), Zuletzt geändert durch Art. 2 G zur Neuregelung stiftungsrechtlicher Vorschriften und zur Änd. anderer Rechtsvorschriften vom 16.2.2023 (GVBl. S. 90), der §§ 30, 31, 36 des Hessischen Wassergesetzes (HWG) in der Fassung vom 14.12.2010 (GVBl I S. 548), zuletzt geändert durch Art. 3 Hess. Verkündungswesen-DigitalisierungsG vom 28.6.2023 (GVBl. S. 473), der §§ 1 bis 5a, 6a, 9 bis 12 des Hessischen Gesetzes über kommunale Abgaben (KAG) vom 24.03.2013 (GVBl I S. 134), Zuletzt geändert durch Art. 4 G zur Bestimmung der Zuständigkeit für den Vollzug der MittelfristenergieversorgungssicherungsmaßnahmenVO und zur Änd. weiterer Vorschriften vom 20.7.2023 (GVBl. S. 582)), hat die Stadtverordnetenversammlung der Stadt Kirtorf in der Sitzung am 29.02.2024 folgende Änderung der Wasserversorgungssatzung beschlossen:
§ 24 Abs. 6 der Wasserversorgungssatzung (WVS) Preisnachlass für Großabnehmer Kategorie 2 – Wasserverbrauch mehr als 5.000 m³, wird wie folgt geändert:
Kategorie 2 - Wasserverbrauch mehr als 4000 m³ = Wasserbenutzungsgebühr ab 4001 m³ = 1,50 € zzgl. Gesetz. MwSt.
Die übrigen Bestimmungen der derzeitig gültigen Wasserversorgungssatzung bleiben unberührt. Die Änderung der Wasserversorgungssatzung tritt rückwirkend zum 01.01.2024 in Kraft.
Kirtorf, 06.03.2024 gez. Fey, Bürgermeister
Ausfertigungsvermerk:
Es wird bestätigt, dass der Inhalt dieser Satzung mit dem hierzu ergangenen Beschluss der Stadtverordnetenversammlung der Stadt Kirtorf übereinstimmt und dass die für die Rechtswirksamkeit maßgebenden Verfahrensvorschriften eingehalten wurden.
Kirtorf, 06.03.2024
gez. Fey, Bürgermeister
Katzenschutzverordnung für das Gebiet der Stadt Kirtorf
und den Stadtteilen
Der Magistrat der Stadt Kirtorf hat aufgrund des § 21 Abs. 3 der „Verordnung zur Änderung der Delegationsverordnung und anderer Vorschriften“ des Landes Hessen vom 24. April 2015 (Gesetz- und Verordnungsblatt für das Land Hessen Nr. 10; 2015 - 30. April 2015) und § 13b Tierschutzgesetz (TierSchG) in der Fassung der Bekanntmachung vom 18. Mai 2006 (BGBl. I S. 1206, 1313) zuletzt geändert durch Artikel 2 Absatz 20 des Gesetzes vom 20. Dezember 2022 (BGBl. I S 2752) in seiner Sitzung am 21.12.2023 den Erlass folgender
„Katzenschutzverordnung“ beschlossen:
§ 1
Kastrations-, Kennzeichnungs- und Registrierpflicht
(1) Katzenhalter/innen, die ihrer Katze unkontrollierten Zugang ins Freie gewähren, haben diese zuvor von einem Tierarzt kastrieren und mittels Tätowierung oder Mikrochip kennzeichnen sowie registrieren zu lassen. Die Registrierung erfolgt, indem neben den Daten des Mikrochips/der Tätowierung der Name und die Anschrift des Halters/der Halterin in das deutsche Haustierregister eingetragen wird.
(2) Dies gilt nicht für weniger als fünf Monate alte Katzen.
(3) Als Katzenhalter/in im vorstehenden Sinne gilt auch, wer freilaufenden Katzen regel- mäßig Futter zur Verfügung stellt.
(4) Für die Zucht von Rassekatzen können auf Antrag Ausnahmen von der Kastrationspflicht zugelassen werden, sofern eine Kontrolle und Versorgung der Nachzucht glaubhaft dargelegt wird.
(5) Der Ordnungsverwaltung ist auf Verlangen ein Nachweis über die durchgeführte Kastration und Registrierung vorzulegen.
§ 2
Durchführung und Überwachung
(1) Der Nachweis über die Kastration und die Registrierung ist dem Ordnungsamt der Stadt Kirtorf auf Verlangen vorzulegen.
(2) Wird eine unkastrierte Katze im unkontrollierten Freigang angetroffen, so kann dem Halter / der Halterin auferlegt werden, das Tier kastrieren, kennzeichnen und registrieren zu lassen.
§ 3
Bußgeldvorschriften
Vorsätzliche oder fahrlässige Zuwiderhandlungen gegen Gebote dieser Verordnung können mit einer Geldbuße geahndet werden. Das Gesetz über Ordnungswidrigkeiten (OWiG) in der jeweils geltenden Fassung findet Anwendung.
(1) Ordnungswidrig handelt, wer vorsätzlich oder fahrlässig
a) gegen § 1 Absatz 1 zuwiderhandelt,
b) entgegen § 2 Absatz 1 die Nachweise auf Verlangen nicht vorlegt.
(2) Die Ordnungswidrigkeiten nach Absatz 1 können mit einer Geldbuße von bis zu fünftausend Euro geahndet werden.
§ 4
Inkrafttreten
Die Verordnung tritt am 01.01.2024 in Kraft.
Kirtorf, den 27.12.2023
Der Magistrat der Stadt Kirtorf
Andreas Fey, Bürgermeister
Ausfertigungsvermerk
Es wird bestätigt, dass der Inhalt dieser Satzung mit dem hierzu ergangenen Beschluss der Stadtverordnetenversammlung übereinstimmt und dass die für die Rechtswirksamkeit maßgeblichen Vorschriften eingehalten wurden.
Die Bekanntmachung erfolgte auf der Homepage der Stadt Kirtorf am 27.12.2023, eine Hinweisbekanntmachung dazu in der Oberhessischen Zeitung erfolgte am 23.12.2023.
Kirtorf, den 27.12.2023
Der Magistrat der Stadt Kirtorf
Andreas Fey, Bürgermeister



Öffentliche Bekanntmachung
Abräumen und Einebnen von Gräbern in Teilbereichen der städtischen Friedhöfe
Auf folgenden Friedhöfen ist die satzungsgemäße Ruhefrist von 40 Jahren für die nachfolgend aufgeführten Gräber bereits abgelaufen bzw. werden die Gräber nicht mehr gepflegt:
Friedhof Heimertshausen
1. Doppelgrab
Johann Korger *31.12.1874 + 15.02.1970 und
Emilie Korger * 22.02.1882 + 05.03.1978
Friedhof Lehrbach
1. Einzelgrab
Eichenauer, Lina * 02.10.1906 + 13.05.1995
Friedhof Wahlen
1. Einzelgrab
Johann Ballint + 1981
Da die Gräber nicht mehr gepflegt werden, wird die Stadt Kirtorf die genannten Grabstellen nach dem 31.03.2024 räumen und einebnen, sofern sich kein Angehöriger bei der Friedhofsverwaltung meldet.
Eine Räumung auf Eigeninitiative ist nicht gestattet. Sie erfolgt ausschließlich durch die Stadt Kirtorf, oder durch eine von der Stadt Kirtorf beauftragte Firma.
Die Nutzungsberechtigten der genannten Gräber werden hiermit gebeten, die Grabmale, Bepflanzungen u. ä. bis zum 31.3.2024 zu entfernen. Bei Nichteinhalten der Frist ist die Stadt Kirtorf gehalten, die auf den Gräbern verbliebenen Grabmale und das sonstige Zubehör incl. Pflanzen entschädigungslos zu entfernen. Einwendungen und Rückfragen von Betroffenen oder Nutzungsberechtigen gegen die vorgesehene Abräumung können bei der Stadt Kirtorf erhoben werden.
Kirtorf, 20.09.2023
gez.
Fey
Bürgermeister
Wahlbekanntmachung für die Wahl zum 21. Hessischen Landtag und die Direktwahl der Landrätin oder des Landrats im Landkreis Vogelsberg am 08.10.2023








Stadtwerke Kirtorf
Bestätigungsvermerk des unabhängigen Abschlussprüfers an den Eigenbetrieb Stadtwerke der Stadt Kirtorf - Jahresabschluss zum 31.12.2020
Prüfungsurteile
Wir haben den Jahresabschluss der Stadtwerke Kirtorf — bestehend aus der Bilanz zum 31. Dezember 2020 und der Gewinn- und Verlustrechnung für das Wirtschaftsjahr vom 1. Januar 2020 bis zum 31. Dezember 2020 sowie dem Anhang, einschließlich der Darstellung der Bilanzierungs- und Bewertungsmethoden — geprüft. Darüber hinaus haben wir den Lagebericht des Eigenbetriebes Kirtorf für das Wirtschaftsjahr vom 1. Januar 2020 bis zum 31. Dezember 2020 geprüft.
Nach unserer Beurteilung aufgrund der bei der Prüfung gewonnenen Erkenntnisse entspricht der beigefügte Jahresabschluss in allen wesentlichen Belangen den Vorschriften des Hessischen Eigenbetriebsgesetzes i. V. m. den einschlägigen deutschen für Kapitalgesellschaften geltenden handelsrechtlichen Vorschriften und vermittelt unter Beachtung der deutschen Grundsätze ordnungsmäßiger Buchführung ein den tatsächlichen Verhältnissen entsprechendes Bild der Vermögens- und Finanzlage des Eigenbetriebes zum 31. Dezember 2020 sowie seiner Ertragslage für das Wirtschaftsjahr vom 1. Januar 2020 bis zum 31. Dezember 2020 und vermittelt der beigefügte Lagebericht insgesamt ein zutreffendes Bild von der Lage des Eigenbetriebes. In allen wesentlichen Belangen steht dieser Lagebericht in Einklang mit dem Jahresabschluss, entspricht den Vorschriften des § 26 HesEigBGes i. V. m. § 289 HGB und stellt die Chancen und Risiken der zukünftigen Entwicklung zutreffend dar.
Gemäß § 322 Abs. 3 Satz 1 HGB erklären wir, dass unsere Prüfung zu keinen Einwendungen gegen die Ordnungsmäßigkeit des Jahresabschlusses und des Lageberichtes geführt hat.
Grundlage für die Prüfungsurteile
Wir haben unsere Prüfung des Jahresabschlusses und des Lageberichtes in Übereinstimmung mit § 317 HGB und § 27 Abs. 2 HesEigBGes unter Beachtung der vom Institut der Wirtschaftsprüfer (IDW) festgestellten deutschen Grundsätze ordnungsmäßiger Abschlussprüfung durchgeführt. Unsere Verantwortung nach diesen Vorschriften und Grundsätzen ist im Abschnitt "Verantwortung des Abschlussprüfers für die Prüfung des Jahresabschlusses und des Lageberichtes" unseres Bestätigungsvermerkes weitergehend beschrieben. Wir sind von dem Eigenbetrieb unabhängig in Übereinstimmung mit den deutschen handelsrechtlichen und berufsrechtlichen Vorschriften und haben unsere sonstigen deutschen Berufspflichten in Übereinstimmung mit diesen Anforderungen erfüllt. Wir sind der Auffassung, dass die von uns erlangten Prüfungsnachweise ausreichend und geeignet sind, um als Grundlage für unsere Prüfungsurteile zum Jahresabschluss und zum Lagebericht zu dienen.
Verantwortung der gesetzlichen Vertreter und der Betriebskommission für den Jahresabschluss und den Lagebericht
Die gesetzlichen Vertreter sind verantwortlich für die Aufstellung des Jahresabschlusses, der den Vorschriften des Hessischen Eigenbetriebsgesetzes i. V. m. den einschlägigen deutschen für Kapitalgesellschaften geltenden handelsrechtlichen Vorschriften in allen wesentlichen Belangen entspricht, und dafür, dass der Jahresabschluss unter Beachtung der deutschen Grundsätze ordnungsmäßiger Buchführung ein den tatsächlichen Verhältnissen entsprechendes Bild der Vermögens-, Finanz- und Ertragslage des Eigenbetriebes vermittelt. Ferner sind die gesetzlichen Vertreter verantwortlich für die internen Kontrollen, die sie in Übereinstimmung mit den deutschen Grundsätzen ordnungsmäßiger Buchführung als notwendig bestimmt haben, um die Aufstellung eines Jahresabschlusses zu ermöglichen, der frei von wesentlichen — beabsichtigten oder unbeabsichtigten — falschen Darstellungen ist.
Bei der Aufstellung des Jahresabschlusses sind die gesetzlichen Vertreter dafür verantwortlich, die Fähigkeit des Eigenbetriebes zur Fortführung der Unternehmenstätigkeit zu beurteilen. Des Weiteren haben sie die Verantwortung, Sachverhalte in Zusammenhang mit der Fortführung der Unternehmenstätigkeit, sofern einschlägig, anzugeben. Darüber hinaus sind sie dafür verantwortlich, auf der Grundlage des Rechnungslegungsgrundsatzes der Fortführung der Unternehmenstätigkeit zu bilanzieren, sofern dem nicht tatsächliche, oder rechtliche Gegebenheiten entgegenstehen.
Außerdem sind die gesetzlichen Vertreter verantwortlich für die Aufstellung des Lageberichtes, der insgesamt ein zutreffendes Bild von der Lage des Eigenbetriebes vermittelt sowie in allen wesentlichen Belangen mit dem Jahresabschluss in Einklang steht, den Vorschriften des Hessischen Eigenbetriebsgesetzes i. V. m. den einschlägigen deutschen für Kapitalgesellschaften geltenden handelsrechtlichen Vorschriften entspricht und die Chancen und Risiken der zukünftigen Entwicklung zutreffend darstellt. Ferner sind die gesetzlichen Vertreter verantwortlich für die Vorkehrungen und Maßnahmen (Systeme), die sie als notwendig erachtet haben, um die Aufstellung eines Lageberichtes in Übereinstimmung mit den anzuwendenden Vorschriften des Hessischen Eigenbetriebsgesetzes i. V. m. den einschlägigen deutschen für Kapitalgesellschaften geltenden handelsrechtlichen Vorschriften zu ermöglichen, und um ausreichende geeignete Nachweise für die Aussagen im Lagebericht erbringen zu können.
Die Betriebskommission ist verantwortlich für die Überwachung des Rechnungslegungsprozesses des Eigenbetriebes zur Aufstellung des Jahresabschlusses und des Lageberichtes.
Verantwortung des Abschlussprüfers für die Prüfung des Jahresabschlusses und des Lageberichtes
Unsere Zielsetzung ist, hinreichende Sicherheit darüber zu erlangen, ob der Jahresabschluss als Ganzes frei von wesentlichen — beabsichtigten oder unbeabsichtigten —falschen Darstellungen ist, und ob der Lagebericht insgesamt ein zutreffendes Bild von der Lage des Eigenbetriebes vermittelt sowie in allen wesentlichen Belangen mit dem Jahresabschluss sowie mit den bei der Prüfung gewonnenen Erkenntnissen in Einklang steht, den Vorschriften des Hessischen Eigenbetriebsgesetzes i. V. m. den einschlägigen deutschen für Kapitalgesellschaften geltenden handelsrechtlichen Vorschriften entspricht und die Chancen und Risiken der zukünftigen Entwicklung zutreffend darstellt, sowie einen Bestätigungsvermerk zu erteilen, der unsere Prüfungsurteile zum Jahresabschluss und zum Lagebericht beinhaltet.
Hinreichende Sicherheit ist ein hohes Maß an Sicherheit, aber keine Garantie dafür, dass eine in Übereinstimmung mit § 317 HGB und § 27 Abs. 2 HesEigBGes unter Beachtung der vom Institut der Wirtschaftsprüfer (IDW) festgestellten deutschen Grundsätze ordnungsmäßiger Abschlussprüfung durchgeführte Prüfung eine wesentliche falsche Darstellung stets aufdeckt. Falsche Darstellungen können aus Verstößen oder Unrichtigkeiten resultieren und werden als wesentlich angesehen, wenn vernünftigerweise erwartet werden könnte, dass sie einzeln oder insgesamt die auf der Grundlage dieses Jahresabschlusses und Lageberichtes getroffenen wirtschaftlichen Entscheidungen von Adressaten beeinflussen.
Während der Prüfung üben wir pflichtgemäßes Ermessen aus und bewahren eine kritische Grundhaltung.
Darüber hinaus
- identifizieren und beurteilen wir die Risiken wesentlicher — beabsichtigter oder unbeabsichtigter — falscher
Darstellungen im Jahresabschluss und im Lagebericht, planen und führen Prüfungshandlungen als Reaktion auf diese Risiken durch sowie erlangen Prüfungsnachweise, die ausreichend und geeignet sind, um als Grundlage für unsere Prüfungsurteile zu dienen. Das Risiko, dass wesentliche falsche Darstellungen nicht aufgedeckt werden, ist bei Verstößen höher als bei Unrichtigkeiten, da Verstöße betrügerisches Zusammenwirken, Fälschungen, beabsichtigte Unvollständigkeiten, irreführende Darstellungen bzw. das Außerkraftsetzen interner Kontrollen beinhalten können.
- gewinnen wir ein Verständnis von dem für die Prüfung des Jahresabschlusses
relevanten internen Kontrollsystem und den für die Prüfung des Lageberichtes relevanten Vorkehrungen und Maßnahmen, um Prüfungshandlungen zu planen, die unter den gegebenen Umständen angemessen sind, jedoch nicht mit dem Ziel, ein Prüfungsurteil zur Wirksamkeit dieser Systeme des Eigenbetriebes abzugeben.
- beurteilen wir die Angemessenheit der von den gesetzlichen Vertretern angewandten Rechnungslegungsmethoden sowie die Vertretbarkeit der von den gesetzlichen Vertretern dargestellten geschätzten Werte und damit zusammenhängenden Angaben.
- ziehen wir Schlussfolgerungen über die Angemessenheit des von den gesetzlichen
Vertretern angewandten Rechnungslegungsgrundsatzes der Fortführung der Unternehmenstätigkeit sowie, auf der Grundlage der erlangten Prüfungsnachweise, ob eine wesentliche Unsicherheit im Zusammenhang mit Ereignissen oder Gegebenheiten besteht, die bedeutsame Zweifel an der Fähigkeit des Eigenbetriebes zur Fortführung der Unternehmenstätigkeit aufwerfen können. Falls wir zu dem Schluss kommen, dass eine wesentliche Unsicherheit besteht, sind wir verpflichtet, im Bestätigungsvermerk auf die dazugehörigen Angaben im Jahresabschluss und im Lagebericht aufmerksam zu machen oder, falls diese Angaben unangemessen sind, unser jeweiliges Prüfungsurteil zu modifizieren. Wir ziehen unsere Schlussfolgerungen auf der Grundlage der bis zum Datum unseres Bestätigungsvermerkes erlangten Prüfungsnachweise. Zukünftige Ereignisse oder Gegebenheiten können jedoch dazu führen, dass der Eigenbetrieb seine Unternehmenstätigkeit nicht mehr fortführen kann.
- beurteilen wir die Gesamtdarstellung, den Aufbau und den Inhalt des Jahresabschlusses einschließlich der
Angaben sowie ob der Jahresabschluss die zugrundeliegenden Geschäftsvorfälle und Ereignisse so darstellt, dass der Jahresabschluss unter Beachtung der deutschen Grundsätze ordnungsmäßiger Buchführung ein den tatsächlichen Verhältnissen entsprechendes Bild der Vermögens-, Finanz- und Ertragslage des Eigenbetriebes vermittelt.
- beurteilen wir den Einklang des Lageberichtes mit dem Jahresabschluss, seine Gesetzesentsprechung und
das von ihm vermittelte Bild von der Lage des Eigenbetriebes.
- führen wir Prüfungshandlungen zu den von den gesetzlichen Vertretern dargestellten zukunftsorientierten
Angaben im Lagebericht durch. Auf Basis ausreichender geeigneter Prüfungsnachweise vollziehen wir dabei insbesondere die den zukunftsorientierten Angaben von den gesetzlichen Vertretern zugrunde gelegten bedeutsamen Annahmen nach und beurteilen die sachgerechte Ableitung der zukunftsorientierten Angaben aus diesen Annahmen. Ein eigenständiges Prüfungsurteil zu den zukunftsorientierten Angaben sowie zu den zugrundeliegenden Annahmen geben wir nicht ab. Es besteht ein erhebliches unvermeidbares Risiko, dass künftige Ereignisse wesentlich von den zukunftsorientierten Angaben abweichen.
Wir erörtern mit den für die Überwachung Verantwortlichen unter anderem den geplanten Umfang und die Zeitplanung der Prüfung sowie bedeutsame Prüfungsfeststellungen, einschließlich etwaiger Mängel im internen Kontrollsystem, die wir während unserer Prüfung feststellen.

Offenlegung des Jahresabschlusses der Stadtwerke Kirtorf 2020
Die Stadtverordnetenversammlung der Stadt Kirtorf hat in ihrer Sitzung am 27.04.2023 dem Jahresabschluss der Stadtwerke Kirtorf - Wasserversorgung, Regenerative Energien, Schwimmbadbetrieb, Wohnungsbau und Abwasserbeseitigung für das Geschäftsjahr 2020 zugestimmt.
Auszug aus dem Beschluss der Stadtverordnetenversammlung der Stadt Kirtorf vom 27.04.2023
Die Stadtverordnetenversammlung der Stadt Kirtorf stellt den Jahresabschluss der Stadtwerke Kirtorf zum 31.12.2020 wie folgt fest und fasst folgenden Beschluss:
Der Jahresgewinn der Abwasserbeseitigung (EUR 84.231,90) soll der allgemeinen Rücklage zugeführt werden.
Der Jahresverlust der Wasserversorgung (EUR 33.805,68) soll aus Mitteln der allgemeinen Rücklage ausgeglichen werden.
Die Jahresgewinne der Betriebszweige Regenerative Energien (EUR 20.609,85) und Wohnungsbau (EUR 22.468,44) sollen der zweckgebundenen Rücklage zugeführt werden.
Der Jahresverlust des Schwimmbades (EUR 60.540,82) soll aus Mitteln der zweckgebundenen Rücklage des Betriebszweiges Schwimmbadbetrieb abgedeckt werden.
Der Betriebsleitung wird Entlastung erteilt.
Abstimmung:
Dem Beschluss wurde einstimmig zugestimmt.
Der Jahresabschluss 2020 der Stadtwerke Kirtorf "Wasserversorgung, Regenerative Energien, Schwimmbadbetrieb, Wohnungsbau und Abwasserbeseitigung" liegt gemäß § 27 Abs. 4 EigBges in der Zeit vom 17.07.2023 – 25.07.2023 während der Dienststunden im Rathaus Kirtorf, Zimmer 4, Neustädter Str. 10‑12 zu jedermanns Einsicht aus.
gez. Fey, Bürgermeister
Amt für Bodenmanagement Fulda
Außenstelle Lauterbach
- Flurbereinigungsbehörde -
Peter-Grünberg-Platz 1, 36341 Lauterbach
Tel.-Nr.: 0611 535 1400, Fax-Nr.: 0611 327 605 200
E-Mail: info.afb-fulda@hvbg.hessen.de
Gz.: 2-FD-05-13-90-01-B-0005#006
Flurbereinigungsverfahren Kirtorf-Alsfeld B 62
Verfahrensnummer: UF 1390
Öffentliche Bekanntmachung
I. Vorläufige Besitzeinweisung
1. Anordnung der vorläufigen Besitzeinweisung
In dem Flurbereinigungsverfahren Kirtorf-Alsfeld B 62 werden die Beteiligten gem. § 65 Abs. 1 Flurbereinigungsgesetz (FlurbG) vom 16. März 1976 (BGBl. I S. 546) in der jeweils geltenden Fassung vorläufig in den Besitz der neuen Grundstücke eingewiesen.
Der für die Bewertung der eingebrachten Grundstücke und der Abfindungsgrundstücke maßgebliche Stichtag wird gemäß § 44 Absatz 1 Satz 4 FlurbG auf den 31.08.2023 festgesetzt.
Die tatsächliche Überleitung der Grundstücke in den neuen Zustand wird durch die Überleitungsbestimmungen (§ 66 FlurbG) vom 30.06.2023 geregelt.
Mit den in den Überleitungsbestimmungen bestimmten Zeitpunkten gehen der Besitz, die Verwaltung und die Nutzung der neuen Grundstücke auf den in der neuen Feldeinteilung benannten Empfänger über (§ 66 Abs. 1 FlurbG).
Diese Überleitungsbestimmungen sind Bestandteil dieser Anordnung.
2. Erläuterung der neuen Feldeinteilung
Auf Antrag der Beteiligten wird die neue Feldeinteilung (Anzeige der Grenzen) an Ort und Stelle angezeigt und erläutert.
Anträge hierzu können telefonisch oder per E-Mail bei den Bediensteten der Flurbereinigungsbehörde unter folgenden Kontaktdaten gestellt werden:
0611 – 535 1446
andreas.ruhl@hvbg.hessen.de
Markus Berck
0611 – 535 1447
markus.berck@hvbg.hessen.de
Derartige Anträge können ab dem Zeitpunkt der Bekanntmachung bis zum 31.08.2023 gestellt werden.
Die Teilnehmerinnen und Teilnehmer werden gebeten, zu dem vereinbarten Termin die in ihrem Besitz befindlichen Abfindungsunterlagen mitzubringen.
3. Hinweise
3.1 Rechtliche Wirkungen
Es wird darauf hingewiesen, dass diese Besitzeinweisung nur den Besitz, die Verwaltung und die Nutzung der neuen Grundstücke betrifft. Die Eigentumsverhältnisse bleiben dadurch unberührt. Der endgültige Rechtszustand wird durch den Flurbereinigungsplan geregelt, gegen den zu gegebener Zeit der Widerspruch nach § 59 FlurbG erhoben werden kann. Die rechtlichen Wirkungen der vorläufigen Besitzeinweisung enden mit der Ausführung des Flurbereinigungsplanes gem. §§ 61, 63 FlurbG (Ausführungsanordnung bzw. vorzeitige Ausführungsanordnung).
3.2 Zeitweilige Einschränkung des Eigentums
Die nach § 34 FlurbG festgesetzten zeitweiligen Einschränkungen des Eigentums bleiben bis zur Unanfechtbarkeit des Flurbereinigungsplanes bestehen. Daher bedürfen – soweit in den Überleitungsbestimmungen nichts Anderweitiges festgesetzt ist – auch weiterhin Änderungen in der Nutzungsart, die über den Rahmen eines ordnungsgemäßen Wirtschaftsbetriebes hinausgehen (z. B. Beseitigung oder Neuanpflanzung von Hecken oder Bäumen, Errichtung oder Veränderungen von Bauwerken etc.) der Zustimmung der Flurbereinigungsbehörde.
3.3 Nießbrauch, Pacht
Anträge, die Ansprüche nach § 69 FlurbG aus einem Nießbrauchsrecht oder nach § 70 FlurbG aus einem Pachtverhältnis zum Gegenstand haben, sind gem. § 71 FlurbG spätestens drei Monate nach Erlass dieser vorläufigen Besitzeinweisung bei der Flurbereinigungsbehörde, dem Amt für Bodenmanagement Fulda, Peter-Grünberg-Platz 1, 36341 Lauterbach, zu stellen. Der Lauf der Frist beginnt mit dem ersten Tag der öffentlichen Bekanntmachung.
4. Bekanntmachung
Diese vorläufige Besitzeinweisung wird in den Flurbereinigungsgemeinden Stadt Alsfeld, Stadt Kirtorf und der Gemeinde Antrifttal öffentlich bekannt gemacht.
Gleichzeitig werden die vorläufige Besitzeinweisung und die Überleitungsbestimmungen für die Dauer von zwei Wochen nach der öffentlichen Bekanntmachung zur Einsichtnahme für die Beteiligten ausgelegt.
Die Auslegung erfolgt bei der Stadt Alsfeld; Markt 1, 36304 Alsfeld; der Stadt Kirtorf, Neustädter Straße 10-12, 36320 Kirtorf und der Gemeinde Antrifttal, Weihersweg 24, 36326 Antrifttal während der Dienstzeiten.
Darüber hinaus sind die zur Einsichtnahme ausgelegten Unterlagen über die Internetadresse https://hvbg.hessen.de/UF1390 abrufbar.
Begründung
Die Anordnung der vorläufigen Besitzeinweisung wird auf der Grundlage des § 65 FlurbG von der zuständigen Flurbereinigungsbehörde erlassen.
Die endgültigen Nachweise für Fläche und Wert der neuen Grundstücke liegen vor, und das Verhältnis der Abfindung zu dem von jedem Beteiligten Eingebrachten steht fest. Der Vorstand der Teilnehmergemeinschaft wurde zu den Überleitungsbestimmungen gem. §§ 65 Abs. 2 in Verbindung mit § 62 Abs. 2 FlurbG gehört.
Die formellen Voraussetzungen des § 65 Abs. 1 FlurbG zur Anordnung der vorläufigen Besitzeinweisung liegen somit vor.
Die Grundstücke innerhalb des Flurbereinigungsgebietes wurden neu geordnet. Durch die vorläufige Besitzeinweisung soll erreicht werden, dass die Teilnehmer möglichst rasch in den Genuss der von der Flurbereinigung zu erwartenden Vorteile gelangen. Den Beteiligten soll die Möglichkeit gegeben werden, ihre neuen Grundstücke schnellstmöglich in Besitz, Nutzung und Verwaltung zu übernehmen.
Eine sofortige Regelung der tatsächlichen Besitz- und Nutzungsverhältnisse ist geboten und duldet keinen weiteren Aufschub.
Die materiellen Voraussetzungen des § 65 Abs. 1 FlurbG zur Anordnung der vorläufigen Besitzeinweisung liegen ebenfalls vor.
Rechtsbehelfsbelehrung
Gegen diese vorläufige Besitzeinweisung kann innerhalb eines Monats nach seiner Bekanntgabe Widerspruch erhoben werden beim
Amt für Bodenmanagement Fulda
- Flurbereinigungsbehörde -
Washingtonallee 1, 36041 Fulda
oder beim
Hessischen Landesamt für Bodenmanagement und Geoinformation
- Obere Flurbereinigungsbehörde -
Schaperstraße 16, 65195 Wiesbaden.
Der Widerspruch kann schriftlich oder zur Niederschrift erhoben werden. Der Lauf der Widerspruchsfrist beginnt mit dem ersten Tag der öffentlichen Bekanntmachung.
II. Anordnung der sofortigen Vollziehung
Anordnung
Die sofortige Vollziehung dieser vorläufigen Besitzeinweisung mit den Überleitungsbestimmungen wird nach § 80 Abs. 2 Satz 1 Nr. 4 der Verwaltungsgerichtsordnung (VwGO) in der jeweils geltenden Fassung angeordnet mit der Folge, dass die aufschiebende Wirkung von Widersprüchen aufgehoben wird.
Begründung
Die sofortige Vollziehung dieser vorläufigen Besitzeinweisung einschließlich der Überleitungsbestimmungen vom 30.06.2023 liegt im überwiegenden Interesse der Beteiligten des Flurbereinigungsverfahrens. Die aufschiebende Wirkung des Rechtsbehelfs hätte zur Folge, dass viele Beteiligte ihre Landabfindung zu den in den Überleitungsbestimmungen vorgesehenen Zeitpunkten nicht in Besitz nehmen können.
Bei der Vielzahl der betroffenen Grundstückseigentümer und Nutzungsberechtigten, muss sich der Übergang von Besitz, Verwaltung und Nutzung auf die Empfänger der neuen Grundstücke für das gesamte Flurbereinigungsgebiet einheitlich zu den festgesetzten Zeiten vollziehen, da sonst eine ordnungsgemäße Bewirtschaftung der neu zugeteilten Grundstücke nicht gewährleistet ist.
Die sofortige Vollziehung liegt aber auch im öffentlichen Interesse, da der Allgemeinheit im Hinblick auf die Verbesserung der Wettbewerbsfähigkeit der landwirtschaftlichen Betriebe und wegen der in die Flurbereinigung investierten erheblichen öffentlichen Mittel daran gelegen ist, die Ziele des Flurbereinigungsverfahrens möglichst bald herbeizuführen.
Die Voraussetzungen für die Anordnung der sofortigen Vollziehung sind somit gegeben.
Rechtsmittelbelehrung
Nach § 80 Abs. 5 Verwaltungsgerichtsordnung kann auf Antrag der
Hessische Verwaltungsgerichtshof
- Flurbereinigungsgericht -
Goethestraße 41+43, 34119 Kassel
die aufschiebende Wirkung des Widerspruchs ganz oder teilweise wiederherstellen. Dieser Antrag ist schriftlich zu stellen oder zu Protokoll des Urkundsbeamten der Geschäftsstelle zu erklären.
Datenschutz
Die Datenschutzerklärung für das Flurbereinigungsverfahren kann im Internet unter der Internetadresse https://hvbg.hessen.de/datenschutz eingesehen werden.
Lauterbach, den 07. Juli 2023
Amt für Bodenmanagement Fulda
- Flurbereinigungsbehörde -
(LS) Im Auftrag
gez. Sudmeier
(Verfahrensleitung)
Bekanntmachung über die öffentliche Auslegung der Vorschlagsliste zur Wahl der Schöffen für die Jahre 2024 – 2028
Die Stadtverordnetenversammlung hat in der Sitzung am 06.07.2023 den Beschluss über die Vorschlagsliste zur Wahl der Schöffinnen und Schöffen für das Landgericht Gießen und das Amtsgericht Alsfeld gefasst.
Die Liste liegt gemäß § 36 Abs. 3 Gerichtsverfassungsgesetz (GVG) in der Zeit vom
12.07.2023 bis zum 19.07.2023 während der Öffnungszeiten bei der Stadtverwaltung Kirtorf, Neustädter Straße 10-12, 36320 Kirtorf, Zimmer 2, zu jedermanns Einsicht aus.
Gegen die Vorschlagsliste kann gemäß § 37 GVG binnen einer Woche nach Schluss der Auslegung schriftlich oder zu Protokoll beim Magistrat der Stadt Kirtorf, Neustädter Straße 10-12, 36320 Kirtorf, Zimmer 2 Einspruch erhoben werden. Der Einspruch kann ausschließlich mit der Begründung erhoben werden, dass in die Liste Personen aufgenommen wurden, die nach einem der Gründe aus §§ 32 bis 34 GVG nicht aufgenommen werden durften oder sollten.
Kirtorf, 10.07.2023
Der Magistrat der Stadt Kirtorf
Andreas Fey
Bürgermeister
AMTLICHE BEKANNTMACHUNG
Kommunalwahlen am 14.03.2021
Wahl der Stadtverordnetenversammlung der Stadt Kirtorf
Herr Ulrich Schäfer, Lampertweg 7, 36320 Kirtorf
vom Wahlvorschlag der
Freie Wählergemeinschaft/Christlich Demokratische Union Kirtorf (FWG/CDU)
hat durch schriftliche Erklärung sein Mandat in der Stadtverordnetenversammlung niedergelegt. Gleichzeitig stelle ich gemäß § 34 des Hessischen Kommunalwahlgesetzes i.d. F. der Bekanntmachung vom 07. März 2005 (GVBl. I S.197), zuletzt geändert durch Artikel 8a des Gesetzes vom 8. Dezember 2021 (GVBl. S. 871) fest, dass als nächster noch nicht berufener Bewerber des Wahlvorschlags
Freie Wählergemeinschaft/Christlich Demokratische Union Kirtorf (FWG/CDU)
Herr Luca Korell, Jahnstraße 18, 36320 Kirtorf
in die Stadtverordnetenversammlung der Stadt Kirtorf nachrückt.
Gegen diese Feststellung kann jede wahlberechtigte Person des Wahlkreises binnen einer Ausschlussfrist von zwei Wochen nach dieser Bekanntmachung Einspruch erheben.
Der Einspruch der wahlberechtigten Person, der nicht die Verletzung eigener Rechte geltend macht, ist nur zulässig, wenn ihn eins von Hundert der Wahlberechtigten, mindestens jedoch fünf Wahlberechtigte unterstützen. Der Einspruch ist schriftlich oder zur Niederschrift beim Gemeindewahlleiter - Stadtverwaltung Kirtorf – einzureichen und innerhalb der Einspruchsfrist im Einzelnen zu begründen. Nach Ablauf der Einspruchsfrist können weitere Einspruchsgründe nicht mehr geltend gemacht werden.
Kirtorf, den 29.06.2023 Der Gemeindewahlleiter
gez. Schindler
Amtliche Bekanntmachung
Beschlussfassung über den Jahresabschluss 2014
Gemäß § 114 Abs. 1 der Hessischen Gemeindeordnung (HGO) in der Fassung vom 07.03.2005 (GVBI. I. S. 142), zuletzt geändert durch Artikel 6 des Gesetzes vom 21. Juni 2018 (GVBI. I S. 291), wird öffentlich bekanntgemacht, dass die Stadtverordnetenversammlung in der Sitzung am 27.04.2023 folgenden Beschluss gefasst hat:
1. Der vom Revisionsamt des Landkreises Vogelsbergkreises abschließend geprüfte und mit
einem uneingeschränkten Prüfungsvermerk versehene Jahresabschluss der Stadt Kirtorf zum 31.12.2014 mit einer Bilanzsumme von 18.682.726,63 € sowie einem Jahresfehlbetrag (ordentliches incl. außerordentliches Ergebnis) in Höhe von -716.271,68 € wird hiermit beschlossen.
2. Dem Magistrat wird gemäß § 114 Abs. 1 HGO für das Haushaltsjahr 2014 Entlastung erteilt.
3. Der Jahresfehlbetrag 2014 wurde gemäß GemHVO durch die Inanspruchnahme der Rücklage ausgeglichen.
2. Auslegung
Der vorstehende Beschluss wird hiermit öffentlich bekannt gemacht.
Der Jahresabschluss 2014 liegt mit Rechenschaftsbericht zur Einsichtnahme vom 30.05.2023 bis 07.06.2023 im Rathaus, Zimmer 1, Neustädter Str. 10, 36320 Kirtorf, während den Dienststunden der Stadtverwaltung Kirtorf, öffentlich aus:
Kirtorf, den 23.05.2023
Der Magistrat der Stadt Kirtorf
Andreas Fey,
Bürgermeister
Es wird bestätigt, dass der Inhalt dieser Satzung mit dem hierzu ergangenen Beschluss der Stadtverordnetenversammlung übereinstimmt und dass die für die Rechtswirksamkeit maßgeblichen Vorschriften eingehalten wurden.
Kirtorf, den 23.05.2023
Der Magistrat der Stadt Kirtorf
Andreas Fey,
Bürgermeister
AMTLICHE BEKANNTMACHUNG
Kommunalwahlen am 14.03.2021
Wahl Ortsbeirat Stadtteil Kirtorf
Herr Timo Klos, Auf der Dreispitz 9, 36320 Kirtorf
vom Wahlvorschlag der Bürgerliste Kirtorf - BLK
hat durch schriftliche Erklärung sein Mandat im Ortsbeirat niedergelegt und scheidet somit aus dem Ortsbeirat Kirtorf aus. Gleichzeitig stelle ich gemäß § 34 des Hessischen Kommunalwahlgesetzes i.d. F. der Bekanntmachung vom 07. März 2005 (GVBl. I S.197), zuletzt geändert durch Artikel 8a des Gesetzes vom 8. Dezember 2021 (GVBl. S. 871) fest, dass als nächster noch nicht berufener Bewerber des Wahlvorschlags
Bürgerliste Kirtorf - BLK
Herr Bernhard Wolf, Am Mühlbusch 3, 36320 Kirtorf
in den Ortsbeirat Kirtorf nachrückt.
Gegen diese Feststellung kann jede wahlberechtigte Person des Wahlkreises binnen einer Ausschlussfrist von zwei Wochen nach dieser Bekanntmachung Einspruch erheben.
Der Einspruch der wahlberechtigten Person, der nicht die Verletzung eigener Rechte geltend macht, ist nur zulässig, wenn ihn eins von Hundert der Wahlberechtigten, mindestens jedoch fünf Wahlberechtigte unterstützen. Der Einspruch ist schriftlich oder zur Niederschrift beim Gemeindewahlleiter - Stadtverwaltung Kirtorf – einzureichen und innerhalb der Einspruchsfrist im Einzelnen zu begründen. Nach Ablauf der Einspruchsfrist können weitere Einspruchsgründe nicht mehr geltend gemacht werden.
Kirtorf, den 22.05.2023 Der Gemeindewahlleiter
Schindler
Amtliche Bekanntmachung
Satzung über die Festsetzung der Steuersätze für die Grund- und Gewerbesteuer
- Hebesatzsatzung –
Aufgrund der §§ 5 und 51 der Hessischen Gemeindeordnung (HGO) in der Fassung der Bekanntmachung vom 7. März 2005 (GVBl. I S. 142), zuletzt geändert durch Gesetz zur Änderung des Hessischen Kommunalwahlgesetzes und anderer Vorschriften aus Anlass der Corona Pandemie vom 11.12.2020 (GVBl. S. 915), des § 25 des Grundsteuergesetzes (GrStG) vom 7. August 1973 (BGBl. I S. 965), zuletzt geändert durch Art. 1 des Gesetzes vom 30. November 2019 (BGBl. I S. 1875) und des § 16 des Gewerbesteuergesetzes (GewStG) i. d. F. der Bekanntmachung vom 15. Oktober 2002 (BGBl. I S. 4167), zuletzt geändert durch Art. 5 des Gesetzes vom 29. Juni
2020 (BGBl. I S. 1512) hat die Stadtverordnetenversammlung/Gemeindevertretung am
27.04.2023 die folgende Satzung beschlossen:
§ 1
Die Hebesätze für die Grundsteuer und für die Gewerbesteuer werden wie folgt festgesetzt:
1. Grundsteuer
a) für die land- und forstwirtschaftlichen 420 v.H.
b) für die Grundstücke 420 v.H.
2. für die Gewerbesteuer 400 v.H.
§ 2
Die vorstehenden Hebesätze gelten ab dem Haushaltsjahr 2023.
§ 3
Diese Satzung tritt am 01.01.2023 in Kraft.
Ausfertigung:
Es wird bestätigt, dass der Inhalt dieser Satzung mit dem/den hierzu ergangenen Beschluss/Beschlüssen der Gemeindevertretung/Stadtverordnetenversammlung übereinstimmt und dass die für die Rechtswirksamkeit maßgebenden Verfahrensvorschriften eingehalten wurden.
Kirtorf, den 27.04.2023
Andreas Fey
Bürgermeister
ENTSCHÄDIGUNGSSATZUNG der Stadt Kirtorf
Aufgrund der §§ 5 und 27 der Hessischen Gemeindeordnung in der Fassung der Bekanntmachung vom 07.03.2005 (GVBl I S. 142) zuletzt geändert durch Artikel 1 des Gesetzes vom 7. Mai 2020 (GVBl. S. 318) hat die Stadtverordnetenversammlung Kirtorf am 27.04.2023 folgende Entschädigungssatzung beschlossen:
§ 1 Verdienstausfall
- Gemeindevertreterinnen und Gemeindevertreter, Mitglieder des Gemeindevorstandes, der Ortsbeiräte, des Ausländerbeirates und andere ehrenamtlich Tätige erhalten, wenn ihnen nachweisbar ein Verdienstausfall entstehen kann, zur pauschalen Abgeltung ihrer Ansprüche einen Betrag von 15 Euro pro Stunde der Tätigkeit/Monat/Sitzung der Gemeindevertretung, des Gemeindevorstandes, des Ortsbeirates, des Ausländerbeirates oder des Gremiums, dem sie als Mitglied oder kraft Satzung oder Gesetzes angehören oder in das sie als Vertreterin oder Vertreter der Gemeinde entsandt worden sind.
- Den erforderlichen Nachweis der Möglichkeit der Entstehung eines Verdienstausfalles für Zeiten, in denen entschädigungspflichtige Sitzungen durchgeführt werden, haben die ehrenamtlich Tätigen zu Beginn der Wahlzeit der Gemeindevertretung gegenüber der oder dem Vorsitzenden der Gemeindevertretung zu führen. Sie sind verpflichtet, diesen Nachweis zu Beginn eines jeden Kalenderjahres erneut zu führen und spätere Änderungen unverzüglich anzuzeigen.
(2a) Hausfrauen und Hausmänner erhalten den Durchschnittssatz ohne Nachweis. Um den Durchschnittssatz zu erhalten, zeigen die Hausfrauen und Hausmänner ihre Tätigkeit zu Beginn der Wahlzeit der oder dem Vorsitzenden der Gemeindevertretung an. Im Übrigen gilt Absatz 2 Satz 2 entsprechend.
- Als Hausfrauen und Hausmänner im Sinne dieser Satzung gelten nur Personen ohne eigenes oder mit einem geringfügigen Einkommen aus stundenweiser Erwerbstätigkeit, die den ehelichen, eheähnlichen oder eigenen Hausstand führen.
- Auf Antrag ist anstelle des Durchschnittssatzes nach Abs. 1 der tatsächlich entstandene und nachgewiesene Verdienstausfall zu ersetzen. Das gilt auch für erforderliche Aufwendungen, die wegen Inanspruchnahme einer Ersatzkraft zur Betreuung von Kindern, Alten, Kranken und Behinderten entstehen.
Selbständig Tätige erhalten auf Antrag anstelle des Durchschnittssatzes eine Verdienstausfallpauschale von höchstens Euro 20 je Stunde, die im Einzelfall auf der Grundlage des glaubhaft gemachten Einkommens festgesetzt wird.
§ 2 Fahrkosten
- Ehrenamtlich Tätige haben Anspruch auf Ersatz ihrer tatsächlich entstandenen und nachgewiesenen Fahrkosten. Bei Benutzung eines Kraftfahrzeuges bemisst sich der Ersatz der Fahrkosten nach den Sätzen des Hessischen Reisekostengesetzes für anerkannt privateigene Fahrzeuge.
- Erstattungsfähige Fahrkosten sind grundsätzlich die Kosten für Fahrten vom Wohnort zum Sitzungsort und zurück. Ist ausnahmsweise eine Anreise von einem anderen Ort als dem Wohnort erforderlich, werden die Fahrkosten nur ersetzt, soweit sie verhältnismäßig sind und die Notwendigkeit zur Teilnahme an der Sitzung bestand. Dies gilt auch für Fahrten zu anderen Veranstaltungen.
§ 3 Aufwandsentschädigungen
- Ehrenamtlich Tätige erhalten neben dem Ersatz des Verdienstausfalles und der Fahrkosten pro Monat/Sitzung der Gemeindevertretung, des Gemeindevorstandes, des Ortsbeirates, des Ausländerbeirates oder des Gremiums, dem sie als Mitglied oder kraft Satzung oder Gesetzes angehören oder in das sie als Vertreterin oder Vertreter der Gemeinde entsandt worden sind folgende Aufwandsentschädigung:
- Stadtverordnete Euro 15
- Ehrenamtliche Magistratsmitglieder Euro 15
- Mitglieder der Ortsbeiräte Euro 10
- Mitglieder der Betriebskommission Euro 15
- Die Mitglieder des Wahlausschusses und der
Wahlvorstände/Auszählungswahlvorstände bei Wahlen
und Abstimmungen erhalten pro Tag ihrer Tätigkeit Euro 30
Zusätzliche Aufwandsentschädigung bei besonderem Aufwand
Die Mitglieder des Wahlausschusses und der Wahlvorstände / Auszählungsvorstände bei Wahlen und Abstimmungen erhalten
bei erhöhten Beschwernissen im Ablauf der jeweils geforderten
Handlungen eine zusätzliche Aufwandsentschädigung von Euro 30
pro Tag ihrer Tätigkeit.
Die erhöhten Beschwernisse sind z.B. durch die Berücksichtigung besonderer Hygienemaßnahmen im Rahmen der Vorsorgemaßnahmen im Zusammenhang mit der Corona Pandemie gegeben.
- Die Aufwandsentschädigung nach Abs. 1 wird für den höheren Aufwand bei dem Wahrnehmen besonderer Funktionen um eine monatliche Pauschale erhöht. Diese beträgt für
- die oder den Vorsitzenden der Stadtverordnetenversammlung Euro 65
- Fraktionsvorsitzende gem. §36a HGO Euro 50
- die oder den ehrenamtlichen Erste Stadträtin / Ersten Stadtrat Euro 65
d) Ausschussvorsitzende, stellvertretende Ausschussvorsitzende
und stellvertretende Stadtverordnetenvorsteher/innen zusätzlich
zur Aufwandsentschädigung nach § 3 Abs. 1,
pro wahrgenommener Sitzungsleitung Euro 10
e) die oder den Marktmeister(in) der Stadt Kirtorf Euro 50
f) die Ortsvorsteherin oder den Ortsvorsteher
- im Ortsbezirk Kirtorf Euro 50
- im Ortsbezirk Arnshain Euro 145
- im Ortsbezirk Gleimenhain Euro 125
- im Ortsbezirk Heimertshausen Euro 145
- im Ortsbezirk Lehrbach Euro 145
- im Ortsbezirk Ober-Gleen Euro 170
- im Ortsbezirk Wahlen Euro 145
Der Anspruch auf die Pauschale entsteht am Beginn des Kalendermonates, in dem die ehrenamtlich Tätigen die besondere Funktion antreten. Er erlischt mit Ablauf des Kalendermonates, in dem sie aus der Funktion scheiden.
(3) Nehmen ehrenamtlich Tätige mehrere Funktionen wahr, für die Anspruch auf Erhöhungen nach Abs. 2 besteht, so stehen ihnen die Erhöhungen für alle Funktionen zu.
(4) Schriftführerinnen oder Schriftführer, die gleichzeitig Mitglied des jeweiligen Gremiums sind, erhalten zusätzlich zur Aufwandsentschädigung als Gremiumsmitglied für jede Sitzung eine Aufwandsentschädigung von Euro 10.
Bei Schriftführerinnen oder Schriftführer ohne Mitglied des Gremiums zu sein, beträgt die Aufwandsentschädigung EUR 30.
Gemeindebediensteten kann auf Wunsch die Schriftführertätigkeit abweichend der vorgenannten geldlichen Entschädigung als Arbeitszeit gutgeschrieben werden und keine Aufwandsentschädigung gewährt werden. Die Wahlmöglichkeit gilt zu jeder Sitzung.
(5) Vertritt ein ehrenamtliches Magistratsmitglied die Bürgermeisterin / den Bürgermeister im Sinne des § 47 HGO, so erhält sie/ er je Kalendertag der Vertretung neben dem Ersatz des Verdienstausfalles, der Fahrtkosten und der Aufwandsentschädigung nach Abs. 2 eine Aufwandsentschädigung von Euro 30.
§ 3a Papierlose Kommunikation im Magistrat und der Stadtverordnetenversammlung
- Nach Einführung des elektronischen Rats- und Informationssystems wird auf die Übermittlung von Unterlagen in Papierform verzichtet. Die ehrenamtlichen Mitglieder des Magistrats und der Stadtverordnetenversammlung erhalten für die erforderliche elektronische Kommunikation mittels privatem mobilen Endgerät einen monatlichen Pauschbetrag von EUR 5.
- Der Anspruch auf die Pauschale entsteht am Beginn des Kalendermonats, in dem die ehrenamtliche Tätigkeit aufgenommen wurde. Sie erlischt mit Ablauf des Kalendermonats, indem die Person aus der Funktion scheidet.
§ 4 Fraktionssitzungen – Förderung der Fraktionen
(1) Ehrenamtlich Tätige erhalten für die Teilnahme an Fraktionssitzungen, soweit sie gem. § 36 a Abs. 1 HGO teilnahmeberechtigt sind, Ersatz des Verdienstausfalles, der Fahrkosten und Aufwandsentschädigung nach §§ 1 bis 2 und 3 Abs. 1. Fraktionssitzungen im Sinne von Satz 1 sind auch Sitzungen von Teilen einer Fraktion (Fraktionsvorstand, Fraktionsarbeitsgruppen). Dies gilt auch für die Teilnahme an Sitzungen von Ein-Personen-Fraktionen im Sinne von § 36b Abs. 1 HGO.
(2) Ersatzpflichtig sind nur die Fraktionssitzungen, die auch tatsächlich stattgefunden haben. Die Zahl der nach Abs. 1 ersatzpflichtigen Fraktionssitzungen wird auf 14 pro Jahr begrenzt.
- Für eine zweitägige Fraktionsklausur kann einmal im Kalenderjahr nach § 4 Abs. 1 zusätzlich Übernachtungsgeld in entsprechender Anwendung der Bestimmungen des Hess. Reisekostengesetzes (HRKG) in der jeweils gültigen Fassung geltend gemacht werden. Die Aufwandsentschädigung wird je Sitzungstag gezahlt. Die Fahrtkosten können nur innerhalb des Landes Hessen abgerechnet werden. Die Fraktionsklausurtagung wird auf die Zahl der entschädigungspflichtigen Fraktionssitzungen nicht angerechnet.
(4) Die Stadt Kirtorf gewährt den Fraktionen gemäß § 36a Abs. 4 HGO Zuschüsse zu ihren sächlichen und personellen Aufwendungen für die Geschäftsführung. Die Mittel für diese allgemeine Fraktionsförderung sind in einer besonderen Anlage dem Haushaltsplan der Stadt Kirtorf darzustellen.
§ 5 Dienstreisen
(1) Bei Dienstreisen erhalten Gemeindevertreterinnen und Gemeindevertreter, Beigeordnete, Mitglieder der Ortsbeiräte, des Ausländerbeirates und sonstige ehrenamtlich Tätige Ersatz des Verdienstausfalles und der Fahrkosten nach §§ 1 und 2. Weitere Reisekosten sind nach dem Hessischen Reisekostengesetz zu erstatten.
(2) Ein Anspruch auf Entschädigung besteht nur, wenn die oder der Vorsitzende der Gemeindevertretung die Dienstreise genehmigt hat. Die oder der Vorsitzende der Gemeindevertretung entscheidet über ihre oder seine Teilnahme selbst. In Zweifelsfällen hat sie oder er die Entscheidung der Gemeindevertretung anzurufen.
Dienstreisen von Beigeordneten werden von der Bürgermeisterin oder dem Bürgermeister genehmigt. Die Bürgermeisterin oder der Bürgermeister entscheidet über ihre oder seine Teilnahme selbst.
(3) Für die Teilnahme an Fortbildungsveranstaltungen im Zusammenhang mit der ehrenamtlichen Tätigkeit oder dem Mandat gilt Abs. 1 entsprechend. Die Genehmigung nach Abs. 2 kann nur versagt werden, wenn die Voraussetzungen des § 35 a Abs. 4 Satz 2 HGO nicht vorliegen.
§ 6 Unübertragbarkeit, Unverzichtbarkeit, Antragsfrist
(1) Die Ansprüche auf die Entschädigungen nach §§ 1 bis 3 und 5 sind nicht übertragbar. Auf die Aufwandsentschädigung kann weder ganz noch teilweise verzichtet werden.
(2) Die Entschädigungsleistungen sind innerhalb eines Jahres bei dem Gemeindevorstand schriftlich zu beantragen. Die Frist beginnt mit dem Tage nach dem Ende der Sitzung oder der Veranstaltung bzw. des Monats.
§ 7 Inkrafttreten
Diese Satzung tritt rückwirkend zum 01.01.2023 in Kraft. Gleichzeitig tritt die bisherige Entschädigungssatzung der Stadt Kirtorf vom 01.03.2021 außer Kraft. Die Satzung wird hiermit ausgefertigt.
Kirtorf, den 27.04.2023
Der Magistrat der Stadt Kirtorf
A. Fey
Bürgermeister (Siegel)
Ausfertigungsvermerk:
Es wird bestätigt, dass der Inhalt dieser Satzung mit dem hierzu ergangenen Beschluss der Stadtverordnetenversammlung der Stadt Kirtorf übereinstimmt und dass die für die Rechtswirksamkeit maßgebenden Verfahrensvorschriften eingehalten wurden.
Kirtorf, den 27.04.2023
Magistrat der Stadt Kirtorf
A. Fey
Bürgermeister
Amtliche Bekanntmachung der Stadt Kirtorf
Änderung der Entwässerungssatzung (EWS) der Stadt Kirtorf
Beschluss:
Aufgrund der §§ 5, 19, 20, 51 und 93 Abs. 1 der Hessischen Gemeindeordnung (HGO) in der Fassung der Bekanntmachung vom 07.03.2005 (GVBl I S. 142), Zuletzt geändert durch Art. 2 G zur Neuregelung stiftungsrechtlicher Vorschriften und zur Änd. anderer Rechtsvorschriften vom 16.2.2023 (GVBl. S. 90), der §§ 51 bis 53 des Hessischen Wassergesetzes (HWG) in der Fassung vom 14.12.2010 (GVBl I S. 548), zuletzt geändert durch Art. 9 G zur Stärkung der Gesundheitsverwaltung vom 9.12.2022 (GVBl. S. 764), der §§ 1 bis 5a, 9 bis 12 des Hessischen Gesetzes über kommunale Abgaben (KAG) vom 24.03.2013 (GVBl I S. 134), zuletzt geändert durch Art. 1 G vom 28.5.2018 (GVBl. S. 247), der §§ 1 und 9 des Gesetzes über Abgaben für das Einleiten von Abwasser in Gewässer (Abwasserabgabengesetz - AbwAG) in der Fassung der Bekanntmachung vom 18.01.2005 (BGBl. I S. 114) und des Hessischen Ausführungsgesetzes zum Abwasserabgabengesetz (HAbwAG) in der Fassung der Bekanntmachung vom 9. Juni 2016 (GVBl. I S. 70), zuletzt geändert durch Art. 10 HaushaltsmodernisierungsG vom 1.4.2022 (GVBl. S. 184) hat die Stadtverordnetenversammlung der Stadt Kirtorf in der Sitzung am 27.04.2023 folgende Änderung beschlossen:
§ 24 Abs. 5 EWS wird wie folgt geändert:
Der Grundpreis stellt das Entgelt für die Bereitstellung der öffentlichen Abwasserentsorgungsanlage dar. Er wird für jeden Grundstücksanschluss erhoben und beträgt ab 01.01.2023 je Anschluss der nachstehenden Wasserzähler:
QN 2,5 4,00 € pro Monat
QN 6 10,00 € pro Monat
QN 10 19,00 € pro Monat
Die übrigen Bestimmungen der derzeitig gültigen Entwässerungssatzung bleiben unberührt. Die Änderung der Entwässerungssatzung tritt rückwirkend zum 01.01.2023 in Kraft.
Kirtorf, 04.05.2023 gez. Fey, Bürgermeister
Ausfertigungsvermerk:
Es wird bestätigt, dass der Inhalt dieser Satzungsänderung mit dem hierzu ergangenen Beschluss der Stadtverordnetenversammlung der Stadt Kirtorf übereinstimmt und dass die für die Rechtswirksamkeit maßgebenden Verfahrensvorschriften eingehalten wurden.
Kirtorf, 04.05.2023 gez. Fey, Bürgermeister
Amtliche Bekanntmachung der Stadt Kirtorf
Änderung der Wasserversorgungssatzung (WVS) der Stadt Kirtorf
Beschluss:
Aufgrund der §§ 5, 19, 20, 51 und 93 Abs. 1 der Hessischen Gemeindeordnung (HGO) in der Fassung der Bekanntmachung vom 07.03.2005 (GVBl I S. 142), Zuletzt geändert durch Art. 2 G zur Neuregelung stiftungsrechtlicher Vorschriften und zur Änd. anderer Rechtsvorschriften vom 16.2.2023 (GVBl. S. 90), der §§ 30, 31, 36 des Hessischen Wassergesetzes (HWG) in der Fassung vom 14.12.2010 (GVBl I S. 548), zuletzt geändert durch Art. 9 G zur Stärkung der Gesundheitsverwaltung vom 9.12.2022 (GVBl. S. 764), der §§ 1 bis 5a, 6a, 9 bis 12 des Hessischen Gesetzes über kommunale Abgaben (KAG) vom 24.03.2013 (GVBl I S. 134), zuletzt geändert durch Art. 1 G vom 28.5.2018 (GVBl. S. 247), hat die Stadtverordnetenversammlung der Stadt Kirtorf in der Sitzung am 27.04.2023 folgende Änderung der Wasserversorgungssatzung beschlossen:
§ 24 Abs. 5 WVS wird wie folgt geändert:
Der Grundpreis stellt das Entgelt für die Bereitstellung der öffentlichen Wasserversorgungsanlage dar. Er wird für jeden Grundstücksanschluss erhoben und beträgt ab 01.01.2023 je Anschluss der nachstehenden Wasserzähler:
QN 2,5 6,00 € pro Monat
QN 6 11,00 € pro Monat
QN 10 21,00 € pro Monat
Die übrigen Bestimmungen der derzeitig gültigen Wasserversorgungssatzung bleiben unberührt. Die Änderung der Wasserversorgungssatzung tritt rückwirkend zum 01.01.2023 in Kraft.
Kirtorf, 04.05.2023 gez. Fey, Bürgermeister
Ausfertigungsvermerk:
Es wird bestätigt, dass der Inhalt dieser Satzungsänderung mit dem hierzu ergangenen Beschluss der Stadtverordnetenversammlung der Stadt Kirtorf übereinstimmt und dass die für die Rechtswirksamkeit maßgebenden Verfahrensvorschriften eingehalten wurden.
Kirtorf, 04.05.2023 gez. Fey, Bürgermeister
Bekanntmachung
Dem Magistrat der Stadt Kirtorf, Neustädter Straße 10 - 12, 36320 Kirtorf wird auf Antrag vom 08.12.2022 gemäß § 8 Abs. 1 und § 15 Wasserhaushaltsgesetz (WHG) vom 31.07.2009 (BGBl. I S. 2585) in der zurzeit geltenden Fassung mit Bescheid des Regierungspräsidiums Gießen vom 19.04.2023 unter Auferlegung von Nebenbestimmungen und befristet bis zum 30.04.2053 die gehobene Erlaubnis erteilt, Grundwasser mittels der Gewinnungsanlage
Tiefbrunnen Kirtorf
auf dem Grundstück in der Gemarkung Kirtorf, Flur 16, Flurstück 53/2
in einer Menge von bis zu 20 m³/h – 85.000 m³/a
zutage zu fördern und abzuleiten, um es zur Versorgung der Stadtteile Kirtorf und Lehrbach (Verbund 1) mit Trink- und Brauchwasser zu gebrauchen und zu verbrauchen.
Die Rechtsbehelfsbelehrung des Bescheids lautet:
„Gegen diesen Bescheid kann innerhalb eines Monats nach Bekanntgabe Klage bei dem Verwaltungsgericht Gießen erhoben werden.“
Der genannte Bescheid und eine Ausfertigung der Antragsunterlagen liegen für die Dauer von zwei Wochen, in der Zeit
vom 05.05.2023 bis einschließlich 19.05.2023,
während der üblichen Dienststunden bei der Stadt Kirtorf, Neustädter Straße 10 - 12, 36320 Kirtorf, Zimmer 4 täglich während der Öffnungszeiten zu jedermanns Einsicht aus.
Der Inhalt der Bekanntmachung sowie der Bescheid und die zur Einsicht ausgelegten Antragsunterlagen werden auch auf der Internetseite des Regierungspräsidiums Gießen unter https://rp-giessen.hessen.de// (→ Öffentliche Bekanntmachungen → Bekanntmachungen allgemein) veröffentlicht.
Je eine Ausfertigung des Bescheids wurde der Antragstellerin sowie den bekannten Betroffenen zugestellt.
Gegenüber den übrigen Betroffenen erfolgt die Zustellung durch die öffentliche Auslegung. Mit dem Ende der gelten die Bescheide den übrigen Betroffenen als zugestellt.
Gießen, 19.04.2023 Regierungspräsidium Gießen
Abteilung IV Umwelt
Gz.: RPGI-41.1-79b0400/12-2022/1
AMTLICHE BEKANNTMACHUNG
Kommunalwahlen am 14.03.2021
Wahl Ortsbeirat Stadtteil Arnshain
Herr Walter Simon, Kirchstraße 5, 36320 Kirtorf
vom Wahlvorschlag der
Freie Wählergemeinschaft Arnshain - FWG
ist verstorben und scheidet somit aus dem Ortsbeirat Arnshain aus. Gleichzeitig stelle ich gemäß § 34 des Hessischen Kommunalwahlgesetzes i.d. F. der Bekanntmachung vom 07. März 2005 (GVBl. I S.197), zuletzt geändert durch Artikel 8a des Gesetzes vom 8. Dezember 2021 (GVBl. S. 871) fest, dass als nächster noch nicht berufener Bewerber des Wahlvorschlags
Freie Wählergemeinschaft Arnshain - FWG
Herr Steffen Möller, Zum Talblick 4, 36320 Kirtorf
in den Ortsbeirat Arnshain nachrückt.
Gegen diese Feststellung kann jede wahlberechtigte Person des Wahlkreises binnen einer Ausschlussfrist von zwei Wochen nach dieser Bekanntmachung Einspruch erheben.
Der Einspruch der wahlberechtigten Person, der nicht die Verletzung eigener Rechte geltend macht, ist nur zulässig, wenn ihn eins von Hundert der Wahlberechtigten, mindestens jedoch fünf Wahlberechtigte unterstützen. Der Einspruch ist schriftlich oder zur Niederschrift beim Gemeindewahlleiter - Stadtverwaltung Kirtorf – einzureichen und innerhalb der Einspruchsfrist im Einzelnen zu begründen. Nach Ablauf der Einspruchsfrist können weitere Einspruchsgründe nicht mehr geltend gemacht werden.
Kirtorf, den 18.04.2023 Der Gemeindewahlleiter
(Schindler)
AMTLICHE BEKANNTMACHUNG
Kommunalwahlen am 14.03.2021
Wahl der Stadtverordnetenversammlung der Stadt Kirtorf
Frau Ute De Tullio, Sand 6, 36320 Kirtorf
vom Wahlvorschlag der
Sozialdemokratische Partei Deutschlands/Unabhängige Wählerliste (SPD / UWL)
hat durch schriftliche Erklärung ihr Mandat in der Stadtverordnetenversammlung niedergelegt. Gleichzeitig stelle ich gemäß § 34 des Hessischen Kommunalwahlgesetzes i.d. F. der Bekanntmachung vom 07. März 2005 (GVBl. I S.197), zuletzt geändert durch Artikel 8a des Gesetzes vom 8. Dezember 2021 (GVBl. S. 871) fest, dass als nächster noch nicht berufener Bewerber des Wahlvorschlags
Sozialdemokratische Partei Deutschlands/Unabhängige Wählerliste (SPD / UWL)
Herr Andreas Maus, Auf der Dreispitz 6, 36320 Kirtorf
in die Stadtverordnetenversammlung der Stadt Kirtorf nachrückt.
Gegen diese Feststellung kann jede wahlberechtigte Person des Wahlkreises binnen einer Ausschlussfrist von zwei Wochen nach dieser Bekanntmachung Einspruch erheben.
Der Einspruch der wahlberechtigten Person, der nicht die Verletzung eigener Rechte geltend macht, ist nur zulässig, wenn ihn eins von Hundert der Wahlberechtigten, mindestens jedoch fünf Wahlberechtigte unterstützen. Der Einspruch ist schriftlich oder zur Niederschrift beim Gemeindewahlleiter - Stadtverwaltung Kirtorf – einzureichen und innerhalb der Einspruchsfrist im Einzelnen zu begründen. Nach Ablauf der Einspruchsfrist können weitere Einspruchsgründe nicht mehr geltend gemacht werden.
Kirtorf, den 30.03.2023 Der Gemeindewahlleiter
(Schindler)
Änderung der Hauptsatzung der Stadt Kirtorf
Aufgrund des § 6 der Hessischen Gemeindeordnung i. d. Fassung der Bekanntmachung vom 07.03.2005 (GVBL I. S. 142) zuletzt geändert durch Artikel 1 des Gesetzes vom 28. Maerz 2015 (GVBl. I S. 158) hat die Stadtverordnetenversammlung der Stadt Kirtorf in Ihrer Sitzung am 02.03.2023 folgende Aenderung der Hauptsatzung beschlossen:
§ 7 (1) der Hauptsatzung enthaelt folgenden neuen Wortlaut:
§ 7
Oeffentliche Bekanntmachungen
(1) Satzungen, Verordnungen sowie andere Gegenstände, deren oeffentliche Bekanntmachung erforderlich ist, werden auf der Homepage der Stadt Kirtorf unter www.stadt-kirtorf.de/bekanntmachungen öffentlich bekannt gemacht. Zusätzlich erfolgt eine Hinweisbekanntmachung in der Oberhessischen Zeitung. Satzungen sind mit ihrem vollen Wortlaut bekannt zu machen. Gesetzlich vorgeschriebene Genehmigungen sind zugleich mit der Satzung oeffentlich bekannt zu machen.
Die Bekanntmachung ist mit Ablauf des Bereitstellungstages im Internet vollendet.
Die Aenderung der Hauptsatzung tritt mit dem Tage ihrer Bekanntmachung in Kraft.
Kirtorf, den 02.03.2023
Der Magistrat der Stadt Kirtorf
Andreas Fey
Buergermeister














